【EI复现】基于主从博弈的新型城镇配电系统产消者竞价策略【IEEE33节点】(Matlab代码实现)

简介: 【EI复现】基于主从博弈的新型城镇配电系统产消者竞价策略【IEEE33节点】(Matlab代码实现)

💥💥💞💞欢迎来到本博客❤️❤️💥💥

🏆博主优势:🌞🌞🌞博客内容尽量做到思维缜密,逻辑清晰,为了方便读者。

⛳️座右铭:行百里者,半于九十。

💥1 概述

image.gif 编辑

image.gif 编辑

image.gif 编辑

本文采用SFE模型对产消者竞价行为建模,确立了含多产消者的新型城镇配电系统日前现货市场交易机制,建立了含竞价博弈和优化调度的双层模型。上层模型追求产消者利润最大化,可确定多个产消者在配电网内的最优报价策略,下层模型考虑运行安全约束以及用户参与DR对系统进行最优经济调度﹐确定市场出清价格。最后﹐采用改进粒子群优化算法与(CPLEX求解器相结合的方法对该多主从博弈模型进行求解。

基于主从博弈的新型城镇配电系统产消者竞价策略研究

一、研究背景与意义

随着分布式能源(DG)的大规模接入和新型电力系统的建设,传统配电系统正逐步向主动配电系统(Active Distribution System, ADS)转型。新型城镇配电系统作为新型电力系统在中低压配电网的体现,具有能源供给清洁化、网架结构柔性化、用户负荷互动化等特点。产消者(Prosumer)作为既能生产又能消费能源的主体,在新型配电系统中扮演了关键角色。然而,产消者的分散性和利益诉求多样性对市场机制设计提出了挑战,而主从博弈(Stackelberg Game)因其能够有效描述领导者与跟随者的动态博弈关系,成为解决此类问题的核心工具。

二、主从博弈模型的理论基础

  1. 模型结构与分类 主从博弈是一种双层优化模型,上层领导者(如配电运营商)优先制定策略(如电价、服务套餐),下层跟随者(如产消者、微电网)根据上层策略调整自身行为(如用能计划、储能调用)。根据博弈者数量可分为:
  • 一主一从:如配电运营商与单一产消者集群的博弈。
  • 一主多从:如虚拟电厂运营商与多产消者的互动。
  • 多主多从:适用于多微电网系统的协同优化。
  1. 数学特性与求解方法
    主从博弈模型通常具有非线性或非凸特性,需采用鲁棒优化处理不确定性(如风电出力波动),并结合智能算法(如改进教与学算法、粒子群优化)与数学规划工具(如CPLEX)嵌套求解。例如,文献[33]通过改进粒子群算法与CPLEX联合求解双层竞价模型,实现了产消者报价策略与系统调度的协同优化。

三、新型城镇配电系统的特点与挑战

  1. 系统特征
  • 能源结构:以分布式新能源为主体,结合储能、柔性负荷等多要素。
  • 网架形态:交直流混联、多端多环的柔性互联网络,支持双向潮流。
  • 用户角色:产消者占比提升,具备需求响应(DR)能力与市场议价权。
  1. 核心挑战
  • 不确定性管理:分布式电源出力波动、用户响应行为随机性需通过鲁棒优化或分布鲁棒机会约束处理。
  • 利益协调:需平衡配电运营商的经济性目标(如运行成本最小化)与产消者的收益最大化诉求。

四、产消者竞价策略的模型构建

  1. 双层优化框架
  • 上层模型:配电运营商以系统运行成本最低或灵活性需求满足为目标,制定电价或市场规则。例如,通过动态定价引导产消者调整用电计划。
  • 下层模型:产消者基于上层策略优化自身竞价行为,包括:
  • 报价策略:通过供给函数均衡(SFE)模型确定最优报价曲线。
  • 能量管理:考虑分布式发电、储能调度及负荷灵活性。
  1. 关键约束条件
  • 物理约束:配电网潮流安全、电压稳定。
  • 市场约束:电价上下限、交易量限制。
  • 行为约束:产消者的响应意愿与风险偏好。

五、典型应用与实证分析

  1. 案例1:IEEE 33节点系统仿真 文献[26]构建了含多产消者的双层主从博弈模型,通过日前市场交易机制验证了策略有效性。结果显示:
  • 经济性:系统总成本降低12%-15%,产消者收益提升10%以上。
  • 稳定性:通过鲁棒优化将风电出力区间扩大20%,增强系统抗扰动能力。
  1. 案例2:农灌园区互动协调 文献[27]以148节点系统为测试场景,通过分时电价引导农灌园区优化灌溉用电。结果表明:
  • 峰谷差削减:负荷峰均比下降18%。
  • 双赢效益:配电运营商运行成本减少8%,园区用电成本降低12%。
  1. 案例3:虚拟电厂能量共享 文献[37]提出虚拟电厂运营商与产消者的混合博弈策略,结合动态电价与分布鲁棒优化,实现:
  • 灵活性提升:可调节负荷控制能力达区域最大负荷的20%。
  • 收益分配:产消者通过内部交易获利,运营商收益增长9%。

六、未来研究方向

  1. 模型扩展
  • 纳入碳交易机制与条件风险值(CVaR),量化低碳目标与市场风险。
  • 探索多时间尺度(日前-实时-日内)协同优化。
  1. 算法创新
  • 结合深度学习与博弈论,预测产消者行为并动态调整策略。
  • 开发完全去中心化的ADMM算法,保护隐私的同时提升计算效率。
  1. 政策与市场设计
  • 设计适应P2P交易的监管框架,推动产消者社区自治。
  • 完善灵活性资源(如储能)的市场化定价机制。

七、结论

基于主从博弈的产消者竞价策略通过动态定价、鲁棒优化与分布式算法,有效协调了新型城镇配电系统中多方主体的利益冲突,提升了系统经济性与灵活性。未来需进一步结合新型电力系统的发展需求,深化多市场耦合机制与智能化决策方法的研究,为“双碳”目标下的能源转型提供技术支撑。

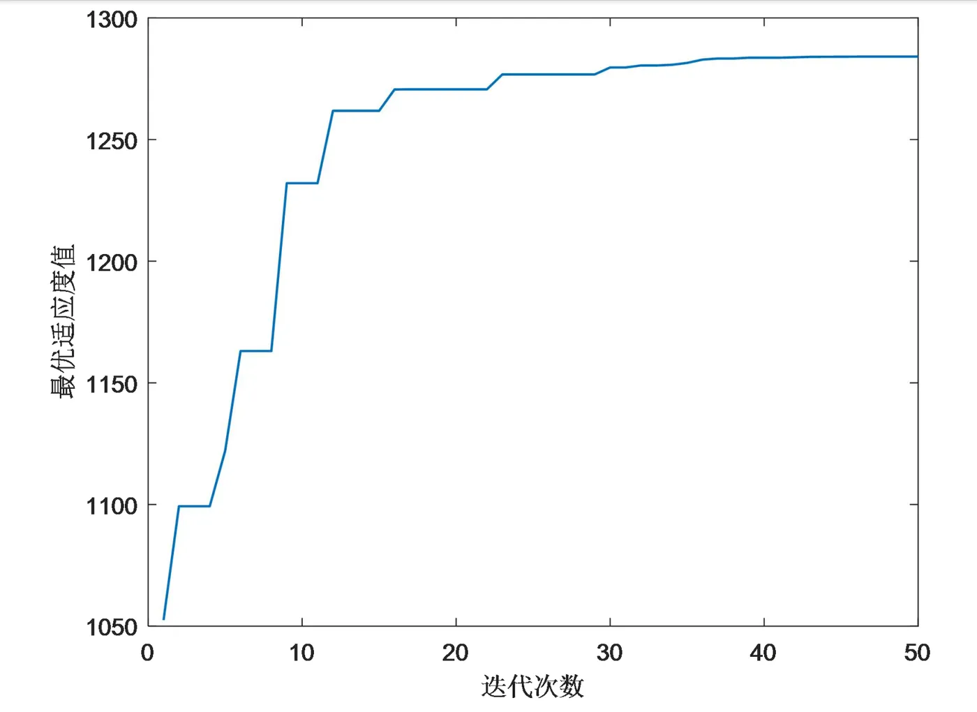
📚2 运行结果

改进粒子群算法:

image.gif 编辑

image.gif 编辑

image.gif 编辑 image.gif 编辑

image.gif 编辑

image.gif 编辑

image.gif 编辑

image.gif 编辑 部分代码:

function [Gi,F,P_g,P_d,fi] = Up_fitnessfun(pop,index)

% clc

% clear

% pop = [60.03;75.03;69.31];

% index = 1;

%% 读取数据

parameters;                         % 读取相关参数

[P_d, fi, F, ~, ~, ~] = Down_fitnessfun(pop,index);

P_d = P_d/SB;                       % 转为标幺值

if index == 1

   P_g = P_d + P_r(:,8) - P_l8';   % T=8时刻产销者出力

elseif index == 2

   P_g = P_d + P_r(:,15) - P_l15'; % T=15时刻产销者出力

end

P_g = P_g*SB;                       % 转为实际值

Ci = a_D'.*(P_d.^2) + b_D'.*P_d + c_D';

Gi = fi.*P_g - s*P_g - Ci;

end

%% 1.粒子群算法迭代情况

disp(['运行时间为:',num2str(time0) , '秒'])

disp(['最优适应度值=',num2str(fitness_zbest)])

figure

plot(history_pso,'linewidth',1)

ylabel('最优适应度值')

xlabel('迭代次数')

%% 2.产销者竞价策略

[Gi,F,P_g,P_d,fi] = Up_fitnessfun(pop_zbest,index);

P_d = P_d*SB;

a_G = pop_zbest;

disp('********************产销者竞价策略********************')

for k =1:Nk

   fprintf('产销者%d:\naG = %.2f   Pg = %.2fMW   Gi = %.2f美元   Pd = %.2fMW   fi = %.2f美元\n',k,a_G(k),P_g(k),Gi(k),P_d(k),fi(k))

end

%% 3.支路网损

[~, ~, ~, P_loss, dP_cj, Uj] = Down_fitnessfun(pop_zbest,index);

P_loss = P_loss(1:32)*SB*1e3;

figure

plot(P_loss,'linewidth',1)

xlabel('支路编号')

ylabel('线路损耗/kW')

%% 4.节点电压

figure

plot(Uj,'linewidth',1)

xlabel('节点编号')

ylabel('节点电压幅值/pu')

%% 5.负荷曲线

figure

if index == 1

   plot(PL8*SB,'linewidth',1)

elseif index == 2

   plot(PL15*SB,'linewidth',1)

end

xlabel('节点编号')

ylabel('负荷功率/MW')

%% 6.产销者新能源出力

for k = 1:Nk

   figure

   plot(Ppv(k,:)*SB,'linewidth',1)

   hold on

   plot(Pwt(k,:)*SB,'linewidth',1)

   xlabel('时间/h')

   ylabel('功率/MW')

   legend('光伏出力','风电出力')

   title(['产销者',num2str(k),'新能源出力曲线'])

end

 

🎉3 参考文献

文章中一些内容引自网络,会注明出处或引用为参考文献,难免有未尽之处,如有不妥,请随时联系删除。

[1]陈修鹏,李庚银,夏勇.基于主从博弈的新型城镇配电系统产

相关文章
|
4天前
|
数据采集 人工智能 安全
|
14天前
|
云安全 监控 安全
|
5天前
|
自然语言处理 API
万相 Wan2.6 全新升级发布!人人都能当导演的时代来了
通义万相2.6全新升级,支持文生图、图生视频、文生视频,打造电影级创作体验。智能分镜、角色扮演、音画同步,让创意一键成片,大众也能轻松制作高质量短视频。
1145 152
|
19天前
|
机器学习/深度学习 人工智能 自然语言处理
Z-Image:冲击体验上限的下一代图像生成模型
通义实验室推出全新文生图模型Z-Image,以6B参数实现“快、稳、轻、准”突破。Turbo版本仅需8步亚秒级生成,支持16GB显存设备,中英双语理解与文字渲染尤为出色,真实感和美学表现媲美国际顶尖模型,被誉为“最值得关注的开源生图模型之一”。
1806 9
|
10天前
|
人工智能 自然语言处理 API
一句话生成拓扑图!AI+Draw.io 封神开源组合,工具让你的效率爆炸
一句话生成拓扑图!next-ai-draw-io 结合 AI 与 Draw.io,通过自然语言秒出架构图,支持私有部署、免费大模型接口,彻底解放生产力,绘图效率直接爆炸。
733 152
|
7天前
|
SQL 自然语言处理 调度
Agent Skills 的一次工程实践
**本文采用 Agent Skills 实现整体智能体**,开发框架采用 AgentScope,模型使用 **qwen3-max**。Agent Skills 是 Anthropic 新推出的一种有别于mcp server的一种开发方式,用于为 AI **引入可共享的专业技能**。经验封装到**可发现、可复用的能力单元**中,每个技能以文件夹形式存在,包含特定任务的指导性说明(SKILL.md 文件)、脚本代码和资源等 。大模型可以根据需要动态加载这些技能,从而扩展自身的功能。目前不少国内外的一些框架也开始支持此种的开发方式,详细介绍如下。
517 5
|
12天前
|
人工智能 安全 前端开发
AgentScope Java v1.0 发布,让 Java 开发者轻松构建企业级 Agentic 应用
AgentScope 重磅发布 Java 版本,拥抱企业开发主流技术栈。
676 14