怎能在国产规则引擎中使用PMML模型

简介: 本文介绍了如何在国产Together规则引擎中导入和处理PMML模型,详细演示了将机器学习模型集成到DMN决策流程中的步骤。通过图文教程,帮助用户快速掌握PMML模型的调用与应用。

我们知道规则引擎(或决策引擎)是企业商业智能AI体系中重要的一环,那么就需要规则引擎具备调用PMML模型的能力,本文将提供完整的分步教程,介绍如何在国产的Together规则引擎编辑器中导入和处理PMML模型。

图片1.png

概述

从Together规则引擎3.0版本开始,Together编辑器支持将PMML模型作为DMN模型的一部分进行加载。

PMML(预测模型标记语言)模型是一个XML文件,用于描述由数据挖掘或AI算法生成的预测模型。您可以在DataMiningGroup–PMML页面上了解有关PMML的更多信息。处理模型的示例包括朴素贝叶斯、神经网络、支持向量机等。将这些类型的模块引入Together编辑器丰富了用户可以创建的逻辑和算法来确定决策过程,为机器学习/AI世界打开了一扇大门。

教程

步骤如下:

1.将您训练好的机器学习模型即PMML文件导入到Together规则引擎项目中。

图片2.png

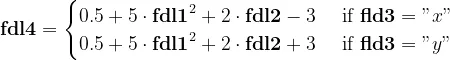
第一个要分析的文件是“test_regression.pmml”,位于项目目录,这让我们有机会了解更多关于此类文件的信息。该模型是指回归模型系列,更具体地说,是指线性回归模型。此模型的典型应用是确定因变量与一个或多个自变量之间的关系。此公式描述了“test_regression.pmml”中存在的回归模型:

图片3.png

描述回归模型的公式保留在test_regression.pmml中

目的是设计一个DMN过程,该过程使用上述公式确定利用PMML模型输出fdl4(因变量)给定其定义的输入变量fdl1、fdl2和fdl3(自变量)的决策。

2.点击新建按钮打开编辑器创建DMN模型:

图片4.png

3.将PMML模型引入

图片5.png

在编辑器中,转到包含的型号页签。在这里,点击包含模型按钮导入前面描述的PMML模型。将出现一个弹出窗口。选择“test_regression.pmml”文件并分配您选择的唯一名称,然后输入一个名称,点击包括按钮,将出现如下界面,说明PMML文件导入成功。

图片6.png

4.现在,返回到编辑页签。在这里,我们需要定义一个节点,该节点将保存之前导入的PMML模型。从编辑器的左侧调色板中选择一个DMN业务知识模型,然后将其拖动到编辑器中。单击Edit图标以打开DMN框式表达式设计器:

图片7.png

5.将出现一个表。将表达式类型设置为PMML,单击左上角的函数单元格。在表格的左上角下来菜单中选择PMML,在Document行选择模型文件TestRegression,Model行选择“LinReg”。

图片8.png

6.现在,我们已准备好定义DMN模型,从三个必需的DMN输入数据开始,以表示输入值fdl1、fdl2和fdl3。不要忘记将它们设置为数据类型数字,选择每个节点并打开DMN设计器右上角的属性卡图标。

图片9.png

7. 下一个必需的步骤是引入 DMN Decision决策节点,它将输入值与 PMML 逻辑相结合以确定 Decision 结果,如以下步骤所述。将其数据类型也设置为数值。

图片10.png

8.将输入节点 fdl1、fdl2 和 fdl3 与 Decision 节点链接,将 RegressionModelBKM 和 Decision 节点链接在一起。这描述了 DMN 过程的最终图形表示:给定输入 fdl1、fdl2 和 fdl3,使用给定的 PMML 模型确定决策。

图片11.png

要完成 DMN 建模,我们需要在 Decision 节点中定义逻辑。选择它,然后按 编辑 图标以打开 DMN 装箱表达式设计器。表达式类型选择 “Invocation(调用)”。这表明 Decision 需要调用外部逻辑来确定决策结果。作为一个函数,编写 “RegressionModelBKM”,它表示我们之前定义的用于保存 PMML 模型的业务知识模型的名称。作为参数,添加三行来定义参数 — 即决策的 Inputs 节点,将它们与 PMML 逻辑中定义的变量名称相关联。在这种情况下,输入节点和 PMML 模型输入变量共享相同的名称,但这不是严格的规则。

图片12.png

至此DMN建模完全集成了 PMML 模型 test_regression.pmml。

9.我们测试一下模型,在DMN模型执行时,同步调用了,PMML模型算法返回了正确的预测模型结果。

图片13.png

结论

在本文中,我们学习了如何使用Together规则引擎将 PMML 模型作为 DMN 模型的一部分。所示示例可以轻松扩展到更复杂的 DMN模型和 PMML 模型,从而更好地满足您的业务需求。当然,这需要对 DMN 和 PMML 标准及其组合功能有更深入的了解。欢迎联系我们获得Together规则引擎AI解决方案。

相关文章
|
3月前
|
人工智能 供应链 数据可视化
一文读懂AI引擎与Together规则引擎重塑智能决策
从1950年图灵提出人工智能设想到如今AI引擎实现自主决策,Together规则引擎正成为智能决策核心。它通过动态规划、多工具调用与持续学习机制,赋能供应链、财务、定价等场景,提升决策透明度与效率。Together助力AI引擎突破落地瓶颈,推动企业管理迈向“决策即服务”新时代。
|
3月前
|
机器学习/深度学习 分布式计算 算法
规则引擎开发现在已经演化成算法引擎了
规则引擎是一种基于专家知识的程序,用于解决复杂决策问题。它通过条件与动作的匹配,实现自动化判断,广泛应用于金融、电商等领域。核心功能包括规则管理、推理算法(如Rete算法)及决策模型,如DMN标准,提升了建模能力与执行效率。
|
存储 缓存 JavaScript
国内开源规则引擎牛起来
国内开源规则引擎牛起来
1421 0
|
4月前
|
传感器 存储 边缘计算
定位与专长的分野:ThingsBoard 物联网平台与 MyEMS 能源管理系统的深度对比
ThingsBoard 与 MyEMS 是两款数据驱动的开源技术平台,分别聚焦物联网全域管理与能源垂直领域。前者以泛在物联为核心,具备设备接入、规则引擎、可视化与多租户管理能力,适用于智慧城市、工业物联网等场景;后者专注能源管理,提供能源数据治理、能效优化与碳排分析功能,广泛应用于制造、建筑与新能源场景。两者在技术架构与应用场景上各具特色,分别体现了“广度连接”与“深度专精”的技术路径。
159 2
|
弹性计算 智能网卡 网络安全
阿里云云网络演进
本文主要介绍阿里云云网络演进进程。
1295 1
|
7月前
|
数据可视化 数据挖掘 BI
指标透明化+管理敏捷化:Dataphin指标关系图与业务指标管理
通过Dataphin的业务指标定义和管理功能,业务人员能够以标准化方式快速创建业务指标并详细说明其详情,从而实现与技术人员的高效沟通,促进相关技术指标的快速开发。此外,业务人员还可以利用Dataphin的指标关系图功能,直观地理解指标的加工逻辑,并迅速定位异常数据根因,从而显著提高问题解决的效率。
356 8
|
关系型数据库 MySQL Linux
Linux安装MySQL(只针对这个8.0版本其他版本的MYSQL不知道是不是也可以用可以自己尝试)
Linux安装MySQL(只针对这个8.0版本其他版本的MYSQL不知道是不是也可以用可以自己尝试)
173 0
|
JSON API 数据格式
使用Python 获取天气数据
使用Python 获取天气数据
548 2
|
弹性计算 JavaScript 安全
ROS CDK魔法书:建立你的游戏王国(Java篇)
本文介绍了如何使用阿里云资源编排服务(ROS)的云开发套件(CDK)将2048小游戏部署到云端。ROS CDK允许使用编程语言定义和部署云资源,简化开发流程。ECS(弹性计算服务)提供灵活的计算资源,确保应用稳定运行。通过初始化工程项目、安装依赖、添加资源等步骤,可以轻松实现游戏的云端部署。文中详细描述了各步骤的操作方法及注意事项,帮助读者顺利完成部署。最后,通过简单命令即可删除资源栈,实现资源的高效管理。
ROS CDK魔法书:建立你的游戏王国(Java篇)
|
机器学习/深度学习 存储 算法
聚类算法:Kmeans和Kmeans++算法精讲
聚类算法:Kmeans和Kmeans++算法精讲
5688 0