开发者学堂课程【人工智能必备基础:概率论与数理统计:多元与曲线回归问题】学习笔记,与课程紧密联系,让用户快速学习知识。
课程地址:https://developer.aliyun.com/learning/course/545/detail/7434
多元与曲线回归问题
内容介绍
一、 多元线性回归分析
二、 曲线回归分析
三、 多重共线性
一、多元线性回归分析
经常会遇到某一现象的发展和变化取决于几个影响因素价情况,也就是一个因变量和几个自变量有依存关系的情况,这时需用多元线性回归分析。
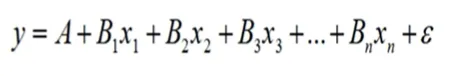
多元线性回归分析预测法, 是指通过对两上成两个以上的自变量与一个因变量的相关分析,建立预测模型进行预测和控制的方法
多元线性回归预测模型一般式为:
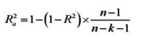
调整的多重判定系数:
用样本容星 n 和自变量的个数 k 去修正 R^2 得到:
避免增加自变量而高估 R^2
二、曲线回归分析:
直线关系是两变量间最简单的一种关系, 曲线回归分析的基本任务是通过两个相关变量 x 与 y 的实际观测数据建立曲线回归方程,以揭示 x 与 y 间的曲线联系的形式。↓
曲线回归分析最困难和首要的工作是确定自变量与因变量间的曲线关系的类型,曲线回归分析的基本过程:
先将 x 或 y 进行变量转换
对新变量进行直线回归分析、建立直线回归方程并进行显落性检验和区问估计
将新变量还原为原变量,由新变量的直线回归方程和置信区间得出原变量的曲线回归方程和置信区间
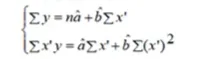
由于曲线回归模型种类繁多,所以没有通用的回归方程可直接使用。但是对于某些特殊的回归模型,可以通过变量代换、取对数等方法将其线性化,然后使用标准方程求解参数,再将参数带回原方程就是所求。
实例:某商店各个时期的商品流通费率和商品零售额资料
散点图如下:
散点图显示出 x 与 y 的变动关系为一条递減的双曲线。
标准方程为
三、多重共线性
回归模型中两个或两个以上的自变量彼此相关的现象
比如:现有 Y,X1 有 10、8、6、4,X2 有 5、4、3、2,看出 X1 是 X2 的 2 倍,所以出现相关性。
多重共线性带来的问题有:
回归系数估计值的不稳定性增强
回归系数假设检验的结果不显著等
多重共线性检验的主要方法:
容忍度
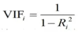
方差膨胀因子( VIF )
容忍度:
Ri 是解释变量 xi 与方程中其他解释变量间的复相关系数;
容忍度在 0~1 之间,越接近于 0,表示多重共线性越强,越接近于 1,表示多重共线性越弱。
方差膨胀因子
方差膨胀因子是容忍度的例数
VIFi 越大,特别见大与等于 10,说明解释变量 xi 与方程中其他解释变量之间有严重的多重共线性:
VIFi 越接近 1,表明解释变量 xi 和其他解释变量之间的多重共线性越弱。







