[ 导读 ] 自学AI的过程中,我们非常需要理解这些数学符号。它可以让你用一种非常简洁的方式来表达一个复杂的想法。
你是否跟我一样,自幼恨透数学。
现在,我终于发现了我对数学绝缘的最主要原因:我的老师从来不去回答最重要的问题:我为什么要学数学?学数学有什么用?
他们只是在黑板上写下一大堆方程,并让我记下来。
现在,如果你对AI这个激动人心的领域感兴趣,那么它将是回答这个问题最好的答案!那就是,我想要写一个更好的图像识别程序,或者一个可以理解自然语言的交互界面!也许甚至想有一天写出自己的算法?
如果你想从阅读 arXiv(https://arxiv.org/list/cs.AI/recent) 上的几篇论文开启自学AI之路?那么首先,你需要知道怎样理解这些有意思的数学小符号。
也许,学习数学符号最重要的原因,就是它可以让你用一种非常简洁的方式来表达一个复杂的想法。
没有它,解释每个方程,都需要花上很多页的篇幅。
而这篇文章要告诉你的是,学习这些符号不像你想象的那么难。
让很多人对数学失去信息的第二个原因是,很多解释写得太可怕了。
事实上,大部分人并不擅长解释东西。人们一般要定义一个数学术语,会使用更多的数学术语。这就造成了不理解的一个无限循环。好比定义“大象”这个词,说,“大象就是大象一类的东西。”
这篇文章会将数学符号和现实世界关联起来,并使用你已知的东西来类比。这样你可以脚踏实地地学习。

但是,这篇文章无法覆盖到你读一篇论文需要的所有数学符号。所以你会需要一本超级凝练的数学符号指南,Edward R. Scheinerman的MathematicalNotation: A Guide for Engineers and Scientists 。(它是我数学菜鸟的AI学习攻略 文章的一个后继补充,但它是我使用最频繁的一本书。它现在满是高亮和折页。随着数学知识的不断扩充,我一遍又一遍地回头翻阅这本书。)
让我们开始吧。
首先,什么是算法?
它真的只是解决一个特定的问题的一系列步骤。无论你是否意识到,你都在使用算法。如果你需要给孩子们打包午饭,送他们上学,取走干洗的衣服,然后去上班,你已经无意识地构造了一系列步骤,从厨房到办公室。这就是一个算法。
如果你的老板同时给你安排了六项工作,你需要找到在一天内完成它们的最好的方式。你需要选择哪些事先做,哪些事后做,哪些事一起做等等。这就是一个算法。
这个概念为什么很重要呢?因为一个方程也不过是解决问题的一系列步骤而已。
我们从一些简单的符号开始,写一些方程。数学就是对事物的翻译。我们有一个输入和一个输出。我们将一些东西代入到我们方程的变量中,遍历所有的步骤,然后得到输出。计算机也是同样的道理。
目前,神经网络背后的大部分黑魔法来自于数学的三个分支:
线性代数
集论
微积分
集合是什么?它就是一堆东西。一般使用花括号{ }或方括号括起来。(搞数学的家伙对所有东西都很难在最佳符号表达上达成一致。)

一个集合
还记得我们在第4部分看到的张量?那就是一个集合。

一个集合通常由大写字母表示,例如A、B、V或W。只要你前后一致,字母本身是什么并不重要。
但是,一些特定的大写字母和符号被保留下来,用来表示重要的、常用的数字集,例如:
∅ = 空集(集合里什么都没有)。这个符号是一个希腊字母,“phi”。数学里常常会用到希腊字母。此处可以查阅大小写希腊字母的写法(https://en.wikipedia.org/wiki/Greek_letters_used_in_mathematics,_science,_and_engineering)。
R =所有实数。(几乎所有存在的数都是实数,包括整数、分数、超越数如Pi (π)(3.14159265…)。但是不包括虚数,一种为了求无解方程的解而构造的数,也不包括无穷)
Z =所有整数。(除了分数之外的数字,比如-1,-2, 0, 1, 2, 3)
大部分保留字母表可以在趣味数学(http://www.mathsisfun.com/sets/number-types.html)里查到。
所有这些都是集合,其中一部分是子集,也就是他们被更大的一个集合完全包含,就像这样:

去查查看Q和N是什么意思吧!
在这个例子中,我们可以说,Z(整数集)是R(实数集)的子集。
我们可以这么写:
A是B的子集(A包含于B):相反的,B是A的超集(B包含A)

我为什么要在乎一个集合B是不是包含了A的全部内容呢?好问题。
假如有一个集合,包括了所有生活在美国的人,有他们的年龄、地址等等信息。现在假设有另一个集合,包括了心脏病发病率更高的人。那么这两个集合重合的地方,可以告诉我们哪个地区的人更可能患有心脏病。
每个集合里都有元素。元素是什么?就是大集合的一部分。我们再看一下我们的张量。

我们将集合中的元素记作小写斜体字母,例如x.我们用一个看起来很奇怪的E一样的符号(其实不是E),来表示一个元素是集合的一部分。我们可以这么写:

这表示x是集合A中的一个元素。
我们也可以说x不是集合A中的一个元素:

你越能理解这些符号,你就越能在头脑中通过这些字符串来沟通。当你看到上面这个,你可以说,“x不是集合A中的元素。”你越能明确地讲出符号的含义,你就越能理解它们。
当然,写出一个集合的所有元素是不现实的,我们可以使用一种特殊的方式来写出一个元素的序列。假如我们有一个数字序列,以1为步长递增。我们可以这样写:
x = {1,2,3,4…n}
这些点表示这个序列到n结束,n代表“序列的末尾”。所以如果n = 10,这个集合包括从1到10的数字范围。如果n = 100,这个集合包括从1到100的数字范围。
当我们将集合转化为线性代数的时候,它们就十分有意思了。你已经认识了一些代数符号比如加号+,减号-。现在我们看两个新的符号和一个方程。首先是符号:
疯狂的方程
当我们将集合转化为线性代数的时候,它们就十分有意思了。你已经认识了一些代数符号比如加号+,减号-。现在我们看两个新的符号和一个方程。首先是符号:
Σ = 一系列数字的和
Π = 一系列数字的积
和是什么?是序列中所有数字做加法。比如我们有一个向量集A(记住向量是一行或一列数字)包括:{1,2,3,4,5}.
序列的和为:
1 + 2 + 3 + 4 + 5 = 15
积是所有数字做乘法。所以对于同样的集合A我们有:
1 x 2 x 3 x 4 x 5 =120
我们看一下下面这个序列的和精简后的例子:

那么我们怎样理解它呢?简单,看这个。

我们从底部的j开始,j是一个变量。然后将j代入到右边的表达式中。最后,我们将序列的结束数字写在顶部。看一个例子:

如果你是一个程序员,你会立刻认出这是一个循环!
我们给这个方程写一个Python函数:
def sum_x_range(x):
j= 1
output = [] # 创建一个空list
for k in range(0,5): # 开始循环
z = x**j # 计算x的j次方
j = j + 1 # j增加1,知道到达n,也就是5
output.append[z] # 将z添加到list中
return sum(output) # 返回list中所有数字的和
print (sum_x_range(2)) # 令x=2,调用方程
原谅我糟糕的Python风格,但是我希望代码清晰,而不是简洁。
**符号表示x的j次幂。方程输入参数x,我令它为2。从0到5循环,取x的1,2,3,4, 5次幂,然后将这些数字添加到一个列表中。它得出列表数字之和为:62。
走进矩阵
记住,2D张量也被称为矩阵。它基本上是一个表格,有行和列。首先,你需要知道如何引用矩阵的不同部分。这张图讲得很清楚:

首先我们有矩阵A, 用大写字母表示。
矩阵有m行和n列,所以我们叫它m X n 矩阵,用小写斜体字母表示。
行是水平的,也就是从左到右。 (不要被图中箭头迷惑,箭头指向的i和j不是行的方向,行是水平的!)
列是垂直的,也就是从上到下。
在这个例子中我们有一个4 x 5 矩阵,(也就是2D张量),因为我们有4行5列。
每个方格是矩阵中的一个元素。元素的位置使用小写斜体a和行序号i和列序号j来表示。
所以第1行第2列的4,用a1,2表示。第2行第1列的3,用a2,1表示。
我们不会讲解所有的矩阵数学运算,我们选择其中一种来小试牛刀。
点乘在神经网络中是一种非常常用的运算,所以一起看看它。
点,点,点
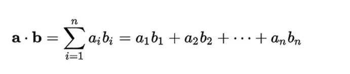
点乘是我们用一个矩阵乘以另一个矩阵的方法。
点乘的符号表示,你应该猜到了,是一个点。
a . b
这是两个标量(也就是单独的数)的点乘。标量也是我们的矩阵里的独立的元素。
我们将同样大小和形状的矩阵对应的元素相乘,再把所有的乘积作和。
那么一个向量和另一个向量乘积的公式是什么样的呢?

深吸一口气。你成功了!
我们现在认识了所有的符号。
这是两个等长向量的乘积公式。记住在数学菜鸟的AI学习攻略第四部分-张量表示(有猫) 中讲到,一个向量就是一行或者一列数字。我们的矩阵的每一行或者每一列都是一个向量。
首先我们用矩阵A的第一个元素乘以矩阵B的第一个元素。然后我们用元素A2 乘以元素B2。我们对于每一个元素做相同的操作,直到达到末尾,“n”。然后对它们作和。
让我们看一下这个操作的图示。

现在我们可以把这些数字代入我们的公式。

这里是输出矩阵下一个数字的例子

这是我们处理完所有运算得到的最终结果:

这些例子来自于神奇的趣味数学网站(Math isFun website)。这个网站里有大量超赞的例子,完全无法超越。
我增加了一些公式,以助于你的理解。因为他们一般都会跳过这些,因为一般这些步骤并不会令人感到困惑。但是你现在再也不会困惑了。
胜在学习策略
我想用一些可以帮你快速学习的策略来结束这篇文章。
我是一个自学者,也就是我一般自己给自己讲解。当我可以放慢脚步,可以自己探索时,我可以学得更好。我会犯一些错误。我上一篇文章就是一个很好的例子,我不得不修正一部分。但是错误也是一件好事!
错误是过程中的一部分。你没有办法避免错误,只能拥抱它。你犯错了,你会进步。没有犯错,就没有进步。就是这么简单。
工程界有一个老段子。
如果你想知道正确答案,不用请人帮忙。只要将错误答案发出来,你就可以看看多少工程师跳出来指正你!
工程师绝不允许错误答案存在!
这是一个老段子,但是常常很管用。
另一件重要的事情是,如果你没有读我在数学菜鸟的AI攻略的一部分推荐的文章的话,或者你没有微积分、代数和几何背景的话,你可能读不了数学符号书(Mathematical Notation book) 。你需要懂得一个术语的背景知识。但是我建议你买一本,它可以在你读其他书的时候,作为一个参考指南。
另外,建议放慢脚步。这又不是比赛!半途而废等于没有分。如果你跳过了一些你不懂的术语,你将来还是不得不回头来看。
所以停下来,花一点时间搞明白所有你不懂的符号。这很缓慢,甚至令人沮丧。但是当你建立越来越多的知识体系,你会越来越快。你会发现你已经理解了一些术语,而此前你从未想象自己可以理解它。
另外,你可能需要从多个地方来查询。需要面对的事实是,大部分人都不是好老师。他们可能理解了一篇材料,但是并不意味着他们可以给其他人讲清楚。教学是一门艺术。这就是为什么趣味数学网站比维基百科好。维基百科确实很“正确”,但是也很枯燥,有时候还令人费解。等你学到更多的时候,也许你可以将维基百科改得更好。
将这些忠告记在心里,你的AI学习之旅就不会误入歧途!
原文发布时间为:2017-04-10
本文来自云栖社区合作伙伴“数据派THU”,了解相关信息可以关注“数据派THU”微信公众号