检索技术:精准Top K检索

简介: 本文介绍了搜索引擎中检索结果排序的核心机制,重点讲解了TF-IDF、BM25及机器学习等打分算法。TF-IDF通过词频与逆文档频率衡量相关性;BM25在此基础上优化,引入文档长度、词频饱和等因子;而机器学习模型则能融合数百种特征,自动学习权重,提升排序精度。最后介绍了Top K检索的优化策略,利用堆排序实现高效精准排序,广泛应用于大规模搜索系统。

在搜索引擎的检索结果中,排在前面几页的检索结果往往质量更好,更符合我们的要求。一般来说,这些高质量检索结果的排名越靠前,这个搜索引擎的用户体验也就越好。可以说,检索结果的排序是否合理,往往决定了一个检索系统的质量。

所以,在搜索引擎这样的大规模检索系统中,排序是非常核心的一个环节。简单来说,排序就是搜索引擎对符合用户要求的检索结果进行打分,选出得分最高的 K 个检索结果的过程。这个过程也叫作 Top K 检索。

今天,我就和你仔细来聊一聊,搜索引擎在 Top K 检索中,是如何进行打分排序的。

经典的 TF-IDF 算法是什么?


在搜索引擎的应用场景中,检索结果文档和用户输入的查询词之间的相关性越强,网页排名就越靠前。所以,在搜索引擎对检索结果的打分中,查询词和结果文档的相关性是一个非常重要的判断因子。

那要计算相关性,就必须要提到经典的 TF-IDF 算法了,它能很好地表示一个词在一个文档中的权重。TF-IDF 算法的公式是:相关性 = TF*IDF。其中,TF 是 词频(Term Frequency),IDF 是 逆文档频率(Inverse Document Frequency)。

在利用 TF-IDF 算法计算相关性之前,我们还要理解几个重要概念,分别是词频、文档频率和逆文档频率。

词频 定义的就是一个词项在文档中出现的次数。换一句话说就是,如果一个词项出现了越多次,那这个词在文档中就越重要。

文档频率(Document Frequency),指的是这个词项出现在了多少个文档中。你也可以理解为,如果一个词出现在越多的文档中,那这个词就越普遍,越没有区分度。一个极端的例子,比如“的”字,它基本上在每个文档中都会出现,所以它的区分度就非常低。

那为了方便理解和计算相关性,我们又引入了一个 逆文档频率 的概念。逆文档频率是对文档频率取 倒数,它的值越大,这个词的的区分度就越大。

因此, TF*IDF 表示了我们综合考虑了一个词项的重要性和区分度,结合这两个维度,我们就计算出了一个词项和文档的相关性。不过,在计算的过程中,我们会对 TF 和 IDF 的值都使用对数函数进行平滑处理。处理过程如下图所示:

使用 相关性 = TF*IDF ,我们可以计算一个词项在一个文档中的权重。但是,很多情况下,一个查询中会有多个词项。不过,这也不用担心,处理起来也很简单。我们直接把每个词项和文档的相关性累加起来,就能计算出查询词和文档的总相关性了。

这么说可能比较抽象,我列举了一些具体的数字,我们一起动手来计算一下相关性。假设查询词是「极客时间」,它被分成了两个词项「极客」和「时间」。现在有两个文档都包含了「极客」和「时间」,在文档 1 中,「极客」出现了 10 次,「时间」出现了 10 次。而在文档 2 中,「极客」出现了 1 次,「时间」出现了 100 次。

计算 TF-IDF 需要的数据如下表所示:

那两个文档的最终相关性得分如下:

文档 1 打分 = TF*IDF(极客)+ TF*IDF(时间)= (1+log(10)) * 10 + (1+log(10)) * 1 = 20 + 2 = 22
文档 2 打分 = TF*IDF(极客)+ TF*IDF(时间)=(1+log(1)) * 10 + (1+log(100)) * 1 = 10 + 3 = 13

你会发现,尽管「时间」这个词项在文档 2 中出现了非常多次,但是,由于「时间」这个词项的 IDF 值比较低,因此,文档 2 的打分并没有文档 1 高。

如何使用概率模型中的 BM25 算法进行打分?


不过,在实际使用中,我们往往不会直接使用 TF-IDF 来计算相关性,而是会以 TF-IDF 为基础,使用向量模型或者概率模型等更复杂的算法来打分。比如说,概率模型中的 BM25(Best Matching 25)算法,这个经典算法就可以看作是 TF-IDF 算法的一种升级。接下来,我们就一起来看看,BM25 算法是怎么打分的。

BM25 算法的一个重要的设计思想是,它认为词频和相关性的关系并不是线性的。也就是说,随着词频的增加,相关性的增加会越来越不明显,并且还会有一个阈值上限。当词频达到阈值以后,那相关性就不会再增长了。

因此,BM25 对于 TF 的使用,设立了一个公式,公式如下:

在这个公式中,随着 tf 的值逐步变大,权重会趋向于 k1 + 1 这个固定的阈值上限(将公式的分子分母同时除以 tf,就能看出这个上限)。其中,k1 是可以人工调整的参数。k1 越大,权重上限越大,收敛速度越慢,表示 tf 越重要。在极端情况下,也就是当 k1 = 0 时,就表示 tf 不重要。比如,在下图中,当 k1 = 3 就比 k1 = 1.2 时的权重上限要高很多。那按照经验来说,我们会把 k1 设为 1.2。

除了考虑词频,BM25 算法还考虑了文档长度的影响,也就是同样一个词项,如果在两篇文档中出现了相同的次数,但一篇文档比较长,而另一篇文档比较短,那一般来说,短文档中这个词项会更重要。这个时候,我们需要在上面的公式中,加入文档长度相关的因子。那么,整个公式就会被改造成如下的样子:

你会看到,分母中的 k1 部分被乘上了文档长度的权重。其中,l 表示当前文档的长度,而 L 表示全部文档的平均长度。l 越长,分母中的 k1 就会越大,整体的相关性权重就会越小。

这个公式中除了 k1,还有一个可以人工调整的参数 b。它的取值范围是 0 到 1,它 代表了文档长度的重要性。当 b 取 0 时,我们可以完全不考虑文档长度的影响;而当 b 取 1 时,k1 的重要性要按照文档长度进行等比例缩放。按照经验,我们会把 b 设置为 0.75,这样的计算效果会比较好。

除此以外,如果查询词比较复杂,比如说一个词项会重复出现,那我们也可以把它看作是一个短文档,用类似的方法计算词项在查询词中的权重。举个例子,如果我们的查询词是「极客们的极客时间课程」,那么「极客」这个词项,其实在查询词中就出现了两次,它的权重应该比「时间」「课程」这些只出现一次的词项更重要。因此,BM25 对词项在查询词中的权重计算公式如下:


其中 tfq 表示词项在查询词 q 中的词频,而 k2 是可以人工调整的参数,它和 k1 的参数作用是类似的。由于查询词一般不会太长,所以词频也不会很大,因此,我们没必要像对待文档一下,用 k1 = 1.2 这么小的范围对它进行控制。我们可以放大词频的作用,把 k2 设置在 0~10 之间。极端情况下,也就是当 k2 取 0 时,表示我们可以完全不考虑查询词中的词项权重。

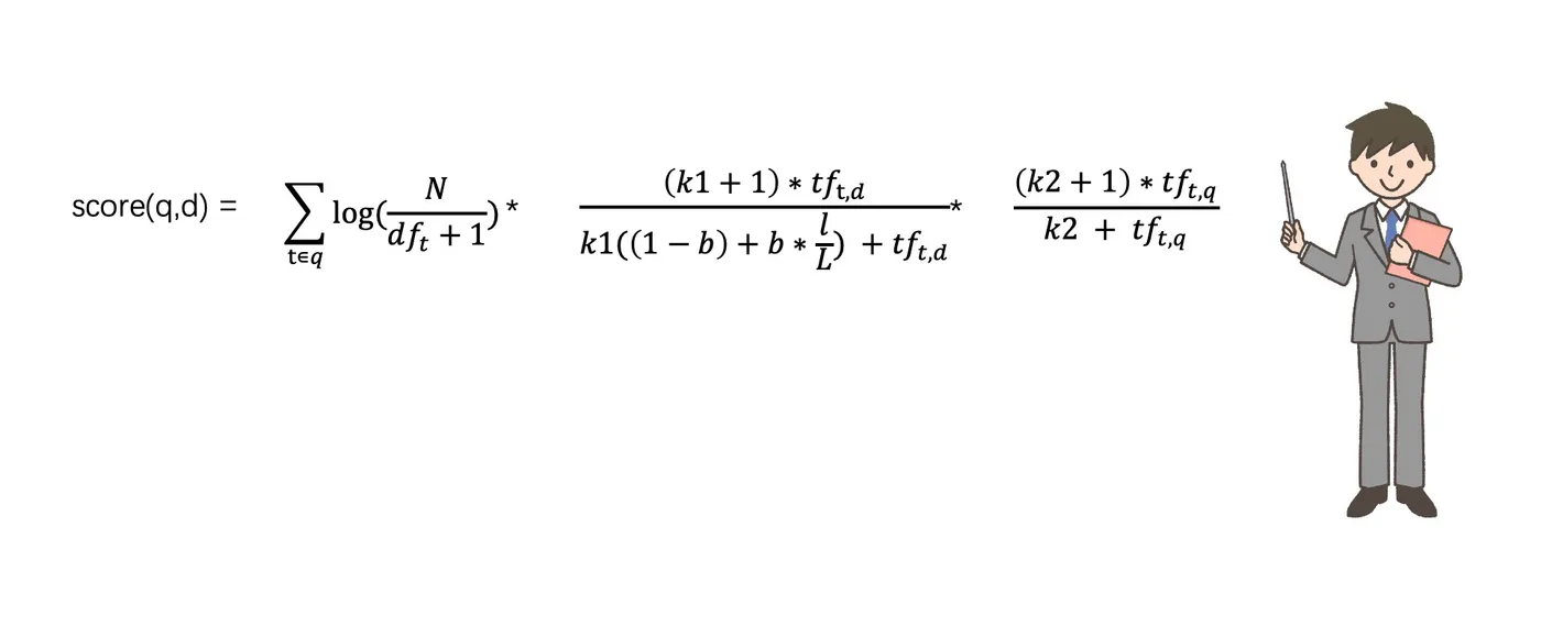
好了,前面我们说了这么多种权重公式,有基础的权重公式、文档中词项的权重公式和查询词中词项的权重公式。那在实际使用 BM25 算法打分的时候,我们该怎么使用这些公式呢?其实,我们可以回顾一下标准的 TF-IDF,把其中的 TF 进行扩展,变为「文档中词项权重」和「查询词中词项权重」的乘积。这样,我们就得到了 BM25 算法计算一个词项和指定文档相关性的打分公式,公式如下:


你会看到,它由 IDF、文档中词项权重以及查询词中词项权重这三部分共同组成。

如果一个查询词 q 中有多个词项 t,那我们就要把每一个词项 t 和文档 d 的相关性都计算出来,最后累加。这样,我们就得到了这个查询词 q 和文档 d 的相关性打分结果,我们用 score(q,d) 来表示,公式如下:


这就是完整的 BM25 算法的表达式了。尽管这个公式看起来比较复杂,但是经过我们刚才一步一步的拆解,你应该可以很好地理解它了,它其实就是对 TF-IDF 的算法中的 TF 做了更细致的处理而已。其实,BM25 中的 IDF 的部分,我们也还可以优化,比如,基于二值独立模型对它进行退化处理(这是另一个分析相关性的模型,这里就不具体展开说了)之后,我们就可以得到一个和 IDF 相似的优化表示,公式如下:


你可以将它视为 IDF 的变体,用来替换公式中原有的 IDF 部分。

总结来说,BM25 算法就是一个对查询词和文档的相关性进行打分的概率模型算法。BM25 算法考虑了四个因子,分别为 IDF、文档长度、文档中的词频以及查询词中的词频。并且,公式中还加入了 3 个可以人工调整大小的参数,分别是 :k1、k2 和 b。

因此,BM25 算法的效果比 TF-IDF 更好,应用也更广泛。比如说,在 Lucene 和 Elastic Search 这些搜索框架,以及 Google 这类常见的搜索引擎中,就都支持 BM25 排序。不过要用好它,你需要结合我们今天讲的内容,更清楚地理解它的原理。这样才能根据不同的场景,去调整相应的参数,从而取得更好的效果。

如何使用机器学习来进行打分?


随着搜索引擎的越来越重视搜索结果的排序和效果,我们需要考虑的因子也越来越多。比如说,官方的网站是不是会比个人网页在打分上有更高的权重?用户的历史点击行为是否也是相关性的一个衡量指标?

在当前的主流搜索引擎中,用来打分的主要因子已经有几百种了。如果我们要将这么多的相关因子都考虑进来,再加入更多的参数,那 BM25 算法是无法满足我们的需求的。

这个时候,机器学习就可以派上用场了。利用机器学习打分是近些年来比较热门的研究领域,也是许多搜索引擎目前正在使用的打分机制。

那机器学习具体是怎么打分的呢?原理很简单,就是把不同的打分因子进行加权求和。比如说,有 n 个打分因子,分别为 x1到 xn,而每个因子都有不同的权重,我们记为 w1到 wn,那打分公式就是:

Score = w1* x1+ w2* x2+ w3* x3+ …… + wn* xn

那你可能会问了,公式中的权重要如何确定呢?这就需要我们利用训练数据,让机器学习在离线阶段,自动学出最合适的权重。这样,就避免了人工制定公式和权重的问题。

当然,这个打分公式是不能直接使用的,因为它的取值范围是负无穷到正无穷。这是一个跨度很广的范围,并不好衡量和比较相关性。一般来说,我们会使用 Sigmoid 函数对 score 进行处理,让它处于 (0,1) 范围内。

Sigmoid 函数的取值范围是(0,1),它的函数公式和图像如下所示:

Sigmoid 函数图像(x 代表 score,y 代表相关性)

Sigmoid 函数的特点就是:x 值越大,y 值越接近于 1;x 值越小,y 值越接近于 0。并且,x 值在中间一段范围内,相关性的变化最明显,而在两头会发生边际效应递减的现象,这其实也符合我们的日常经验。比方说,一个 2-3 人的项目要赶进度,一开始增加 1、2 个人进来,项目进度会提升明显。但如果我们再持续加人进来,那项目的加速就会变平缓了。

这个打分方案,就是工业界常见的 逻辑回归模型(Logistic Regression)(至于为什么逻辑回归模型的表现形式是 Sigmoid 函数,这是另一个话题,这里就不展开说了)。当然,工业界除了逻辑回归模型的打分方案,还有支持向量机模型、梯度下降树等。并且,随着深度学习的发展,也演化出了越来越多的复杂打分算法,比如,使用 深度神经网络模型(DNN)和相关的变种等。由于机器学习和深度学习是专门的领域,因此相关的打分算法我就不展开了。在这一讲中,你只要记住,机器学习打分模型可以比人工规则打分的方式处理更多的因子,能更好地调整参数就可以了。

如何根据打分结果快速进行 Top K 检索?


在给所有的文档打完分以后,接下来,我们就要完成排序的工作了。一般来说,我们可以使用任意一种高效的排序算法来完成排序,比如说,我们可以使用快速排序,它排序的时间代价是 O(n log n)。但是,我们还要考虑到,搜索引擎检索出来结果的数量级可能是千万级别的。在这种情况下,即便是 O(n log n) 的时间代价,也会是一个非常巨大的时间损耗。

那对于这个问题,我们该怎么优化呢?

其实,你可以回想一下,我们在使用搜索引擎的时候,一般都不会翻超过 100 页(如果有兴趣,你可以试着翻翻,看 100 页以后搜索引擎会显示什么),而且,平均一页只显示 10 条数据。也就是说,搜索引擎其实只需要显示前 1000 条数据就够了。因此,在实际系统中,我们不需要返回所有结果,只需要返回 Top K 个结果就可以。这就是许多大规模检索系统应用的的 Top K 检索 了。而且,我们前面的打分过程都是非常精准的,所以我们今天学习的也叫作 精准 Top K 检索

当然还有非精准的 Top K 检索,这里先卖个关子,我会在下一讲详细来讲。

那再回到优化排序上,由于只需要选取 Top K 个结果,因此我们可以使用堆排序来代替全排序。这样我们就能把排序的时间代价降低到 O(n) + O(k log n)(即建堆时间 + 在堆中选择最大的 k 个值的时间),而不是原来的 O(n log n)。举个例子,如果 k 是 1000,n 是 1000 万,那排序性能就提高了近 6 倍!这是一个非常有效的性能提升。

相关文章
|
5天前
|
存储 JavaScript 前端开发
JavaScript基础
本节讲解JavaScript基础核心知识:涵盖值类型与引用类型区别、typeof检测类型及局限性、===与==差异及应用场景、内置函数与对象、原型链五规则、属性查找机制、instanceof原理,以及this指向和箭头函数中this的绑定时机。重点突出类型判断、原型继承与this机制,助力深入理解JS面向对象机制。(238字)
|
4天前
|
云安全 人工智能 安全
阿里云2026云上安全健康体检正式开启
新年启程,来为云上环境做一次“深度体检”
1579 6
|
6天前
|
安全 数据可视化 网络安全
安全无小事|阿里云先知众测,为企业筑牢防线
专为企业打造的漏洞信息收集平台
1322 2
|
5天前
|
缓存 算法 关系型数据库
深入浅出分布式 ID 生成方案:从原理到业界主流实现
本文深入探讨分布式ID的生成原理与主流解决方案,解析百度UidGenerator、滴滴TinyID及美团Leaf的核心设计,涵盖Snowflake算法、号段模式与双Buffer优化,助你掌握高并发下全局唯一ID的实现精髓。
346 160
|
5天前
|
人工智能 自然语言处理 API
n8n:流程自动化、智能化利器
流程自动化助你在重复的业务流程中节省时间,可通过自然语言直接创建工作流啦。
406 6
n8n:流程自动化、智能化利器
|
7天前
|
人工智能 API 开发工具
Skills比MCP更重要?更省钱的多!Python大佬这观点老金测了一周终于懂了
加我进AI学习群,公众号右下角“联系方式”。文末有老金开源知识库·全免费。本文详解Claude Skills为何比MCP更轻量高效:极简配置、按需加载、省90% token,适合多数场景。MCP仍适用于复杂集成,但日常任务首选Skills。推荐先用SKILL.md解决,再考虑协议。附实测对比与配置建议,助你提升效率,节省精力。关注老金,一起玩转AI工具。
|
14天前
|
机器学习/深度学习 安全 API
MAI-UI 开源:通用 GUI 智能体基座登顶 SOTA!
MAI-UI是通义实验室推出的全尺寸GUI智能体基座模型,原生集成用户交互、MCP工具调用与端云协同能力。支持跨App操作、模糊语义理解与主动提问澄清,通过大规模在线强化学习实现复杂任务自动化,在出行、办公等高频场景中表现卓越,已登顶ScreenSpot-Pro、MobileWorld等多项SOTA评测。
1542 7
|
4天前
|
Linux 数据库
Linux 环境 Polardb-X 数据库 单机版 rpm 包 安装教程
本文介绍在CentOS 7.9环境下安装PolarDB-X单机版数据库的完整流程,涵盖系统环境准备、本地Yum源配置、RPM包安装、用户与目录初始化、依赖库解决、数据库启动及客户端连接等步骤,助您快速部署运行PolarDB-X。
246 1
Linux 环境 Polardb-X 数据库 单机版 rpm 包 安装教程
|
8天前
|
人工智能 前端开发 API
Google发布50页AI Agent白皮书,老金帮你提炼10个核心要点
老金分享Google最新AI Agent指南:让AI从“动嘴”到“动手”。Agent=大脑(模型)+手(工具)+协调系统,可自主完成任务。通过ReAct模式、多Agent协作与RAG等技术,实现真正自动化。入门推荐LangChain,文末附开源知识库链接。
670 119