DAPO: 面向开源大语言模型的解耦裁剪与动态采样策略优化系统

简介: DAPO(Decoupled Clip and Dynamic Sampling Policy Optimization)是由字节跳动提出的一种突破性的开源大语言模型强化学习系统。基于Qwen2.5-32B基础模型,DAPO在AIME 2024测试中以50分的优异成绩超越了现有最佳模型,

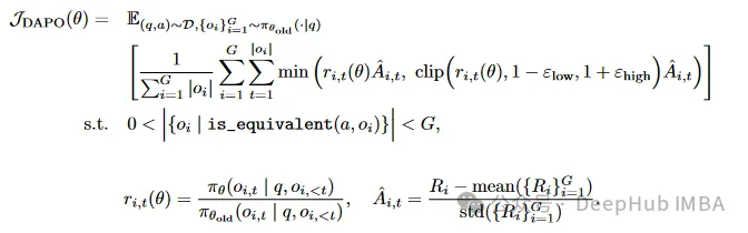
在人工智能技术快速迭代发展的背景下,大语言模型(LLMs)已成为自然语言处理与生成领域的核心技术。然而,将这些模型与人类偏好精确对齐并增强其复杂推理能力的挑战,促使研究者开发了一系列复杂的强化学习(RL)技术。DAPO(解耦裁剪和动态采样策略优化,Decoupled Clip and Dynamic Sampling Policy Optimization)作为一个突破性的开源大语言模型强化学习系统应运而生,为该领域带来了技术变革。本文将系统分析DAPO的技术架构、算法创新及其对人工智能研究发展的长期影响。
大型语言模型的推理能力随着规模扩展呈现前所未有的提升,而强化学习技术已成为引导和增强复杂推理过程的关键方法论。当前最先进的推理型大语言模型的核心技术细节往往不透明(例如OpenAI的o1技术和DeepSeek R1技术报告),导致学术社区难以复现其RL训练成果。字节跳动提出的解耦裁剪和动态采样策略优化(DAPO)算法,完整开源了一套最先进的大规模RL系统,该系统基于Qwen2.5-32B基础模型在AIME 2024测试中取得了50分的优异成绩。与之前不透明的工作不同,DAPO论文详细介绍了四种使大规模LLM RL成功的关键算法技术。此外字节跳动还开源了基于verl框架构建的训练代码及经过精心策划和处理的数据集。这些开源组件提高了技术的可复现性,并为大规模LLM RL领域的未来研究奠定了坚实基础。

DAPO在Qwen2.5-32B基础模型上的AIME 2024评分,仅使用50%的训练步骤就超越了之前最先进的DeepSeekR1-Zero-Qwen-32B模型。

DAPO技术优势

DAPO的技术成就极为显著。基于Qwen2.5-32B基础模型,DAPO在AIME 2024基准测试中获得了50分的卓越成绩,超越了之前由DeepSeek-R1-Zero-Qwen-32B创下的最高水平。更值得注意的是,DAPO仅使用了前代系统50%的训练步骤就实现了这一突破,充分展示了其算法效率和有效性。

在众多大语言模型训练系统中,DAPO的技术差异化优势主要源于其创新的强化学习方法和算法设计。以下将深入探讨驱动这一革命性强化学习系统的核心技术创新。

核心技术创新

DAPO的卓越性能建立在四项关键技术创新基础上,每项创新都针对性解决了大规模大语言模型强化学习中的特定挑战:

Clip-Higher策略:增强模型探索能力

强化学习训练过程中的一个主要挑战是熵坍塌现象(entropy collapse),即模型策略逐渐变得过于确定性,限制了其探索新解决方案的能力。DAPO通过创新的Clip-Higher策略直接应对了这一问题。

传统方法采用对称裁剪范围以稳定训练过程,但这种方法可能无意中限制了低概率令牌概率增加的可能性。DAPO的Clip-Higher策略将下限裁剪范围(εlow)和上限裁剪范围(εhigh)解耦,允许系统更灵活地增加低概率令牌的概率值。

应用Clip-Higher策略前后,RL训练过程中参与者模型在AIME测试集上的准确率和生成概率熵的变化。

通过设置更高的上限裁剪阈值,DAPO有效促进了策略探索并防止模型过早收敛到次优解。这种方法显著增强了策略的熵值,使模型能够生成更多样化且高质量的响应。最终结果是一个具备更强创造性思维能力并能适应广泛应用场景的模型。

动态采样:优化梯度效率

在强化学习框架下,不同训练样本对学习过程的贡献存在显著差异。传统RL算法通常难以有效处理具有极端奖励值的提示(奖励=1表示完美准确,奖励=0表示完全失败),因为这些样本对学习过程贡献的梯度接近于零。随着训练过程中此类提示数量的增加,训练效率问题变得更为严重,导致有效样本量减少和训练效率下降。

DAPO的动态采样技术通过智能筛选训练数据解决了这一挑战。该技术对具有中间奖励值(0 < 奖励 < 1)的提示进行过采样,同时过滤掉贡献零梯度的提示。这确保了每个训练批次中的样本都能有效贡献于梯度更新,维持稳定且充分的有效样本量。

尽管这种方法确实引入了一定的额外采样开销,但其带来的性能收益远超成本。动态采样通过减少训练所需的总步骤数加速了模型收敛,使训练过程更加高效和经济。

令牌级策略梯度损失:均衡学习过程

长思维链(long-CoT)推理能力是先进大语言模型的核心特性,但在训练过程中带来了特殊挑战。传统的样本级损失计算方法可能不成比例地加权较短响应,从而削弱模型学习长响应中复杂推理模式的能力。此外低质量的长响应(如包含无意义或重复模式)未能得到有效惩罚,导致熵值和响应长度不受控制地增加。

DAPO引入了令牌级策略梯度损失计算方法应对这些问题。这一创新方法通过赋予每个令牌相同的重要性(无论响应长度如何)重新平衡了训练过程。最终实现了一个更精细的学习机制,具体表现为:

  • 强化长响应中的高质量推理模式
  • 有效抑制低质量模式
  • 确保更稳定高效的训练过程
  • 促进响应长度和熵值的合理增长

参与者模型概率分布的熵以及响应长度的变化曲线。由于传统方法中所有样本在损失计算中被赋予相同权重,较长响应中的令牌(包含更多token)对整体损失的贡献比例相对较低,这可能导致两种不良后果:首先,对于高质量的长样本,这种效应可能阻碍模型学习其中包含的复杂推理模式;其次,实验观察表明过长的样本往往表现出低质量特征,如无意义重复和冗余表达。因此,样本级损失计算由于无法有效惩罚长样本中的不良模式,导致模型熵值和响应长度不受控制地增加。

通过专注于令牌级别的优化,DAPO能够更精确地捕捉复杂推理链中的细微关系,产生更连贯且逻辑严密的输出。

过长响应奖励塑造:平滑长度优化路径

在追求全面响应的过程中,大语言模型常常生成过长的输出。处理这一问题的传统方法通常采用硬截断机制,这可能在训练过程中引入不必要的噪声,并可能仅因长度问题而惩罚本质上有效的推理过程。

DAPO的过长响应奖励塑造技术引入了一种更精细的、长度感知的惩罚机制。这种方法对超过预设最大长度的响应实施渐进式惩罚,为模型提供更平滑的训练信号。该技术的主要优势包括:

  • 鼓励模型生成简洁而完整的响应
  • 避免可能扰乱训练过程的突然截断惩罚
  • 显著提高训练稳定性和模型性能
  • 使模型能够自然学习最优响应长度

应用过长响应奖励塑造策略前后,参与者模型在AIME上的准确率和生成概率熵的变化。

通过实施过长响应奖励塑造机制,DAPO确保模型学会在响应的详尽性与简洁性之间取得平衡,这是实际应用场景中的关键能力。

Verl框架及系统组件

DAPO的卓越性能建立在先进技术架构和精心设计的系统资源基础上。DAPO实现的核心是Verl框架——一个专为大语言模型设计的高效灵活的强化学习训练库。

应用于DAPO的渐进技术的主要实验结果。观察到的性能提升证明了这些技术在RL训练中的有效性,每种技术都为AIME 2024测试贡献了显著的准确率提升。值得注意的是,在原始GRPO设置下,从Qwen2.5-32B基础模型训练仅能达到30%的准确率。

Verl框架提供了几项关键技术优势,直接促成了DAPO的成功:

算法灵活性:Verl支持多种RL算法并提供便捷的扩展机制,使DAPO的创新技术得以高效实现。

集成能力:通过解耦计算和数据依赖关系,Verl能够与现有LLM框架(如FSDP、Megatron-LM和vLLM)无缝集成。

可扩展性和资源优化:Verl对灵活设备映射的支持优化了模型在不同GPU集群间的分布,提高了计算资源利用率和系统可扩展性。

技术兼容性:Verl与Hugging Face和Modelscope Hub的主流模型完全兼容,包括DAPO创新性能中使用的Qwen-2.5模型系列。

除核心框架外,DAPO的完整实现还包括以下关键组件:

开源训练代码:DAPO的完整代码基础设施向研究社区公开,增强了技术透明度和结果可复现性。

综合训练数据集:DAPO利用精心构建的DAPO-Math-17K数据集,该数据集包含从权威平台收集并经过标准化处理的17,000个数学问题。

标准化验证数据集:AIME 2024数据集作为评估DAPO性能的严格基准测试。

即用型训练脚本:DAPO提供完整的训练脚本,包括标准版本和集成动态采样的版本,便于研究人员快速复现并基于现有成果进行创新。

DAPO学习过程的特征分析

使用强化学习训练大语言模型是一个包含探索、利用和持续改进的复杂过程。DAPO的训练动态分析提供了关于系统如何随时间演化和自我优化的重要洞察:

响应长度的演变:随着训练进行,DAPO展现出响应长度的稳定增长趋势。这种增长模式表明模型探索和生成更复杂推理结构的能力在持续扩展。

奖励分数的进阶:奖励分数的持续上升曲线反映了DAPO成功适应训练分布的能力,逐步学习生成更符合预期结果的高质量响应。

熵值与平均概率的平衡:DAPO在熵(探索能力)和平均概率(利用能力)之间维持了健康平衡。这种平衡对于生成多样化且相关的响应至关重要。

反思性推理能力的涌现:DAPO训练过程中最显著的特征之一是反思性推理行为的自然涌现。随着训练深入,模型开始展示出回溯、自我纠正和迭代改进推理过程的能力。这一现象展示了DAPO超越简单模式匹配,迈向复杂问题解决策略的潜力。

DAPO的响应长度、奖励分数、生成熵和平均概率的指标曲线,这些曲线展示了RL训练的动态特性,同时作为识别潜在问题的基本监控指标。后续实验证明,维持熵值的缓慢上升趋势有利于模型性能的持续提升。

加速AI研究的普及

DAPO对AI研究社区最重要的贡献之一是其对开源原则的坚定承诺。通过向全球研究人员和开发者提供完整系统,DAPO正在促进尖端AI技术的普及。DAPO的开源组件包括:

  • 详细的算法规范文档
  • 完整的代码基础设施
  • 经过精心整理的训练和验证数据集
  • 全面的实现脚本和技术指南

这种开放策略为AI社区带来了几项关键优势:

  1. 结果可复现性:研究人员能够轻松验证并基于DAPO的成果进行迭代,建立技术信任并加速领域进展。
  2. 跨机构协作:DAPO的开源性质促进了跨组织和国际边界的合作研究,汇集全球智力资源共同应对复杂AI挑战。
  3. 知识传播:学生和新兴研究人员能够通过实际操作学习最先进的RL技术,缩小理论与实践之间的差距。
  4. 创新加速:通过提供坚实的技术基础,DAPO使研究人员能够专注于拓展LLM训练的可能性边界,而非重复基础工作。

强化学习过程中反思行为的自然涌现。例如,在模型训练的初始阶段,几乎不存在检查和反思先前推理步骤的行为。然而,随着训练的深入,模型逐渐展现出明显的反思和回溯能力,如表中所示。这一观察为进一步探索RL过程中推理能力涌现机制提供了重要线索,这将是未来研究的重要方向。

总结

DAPO代表了大语言模型与强化学习技术融合发展的重要里程碑。通过系统解决长思维链推理、探索-利用平衡和训练效率等关键技术挑战,DAPO为开源大语言模型训练设立了新的技术标准。

系统在AIME 2024等严格基准测试上取得的领先性能,以及实现这一性能的卓越效率,充分展示了创新RL技术应用于大语言模型的潜力。此外,DAPO对开源原则的坚定承诺确保其技术进步将在整个AI研究社区产生持续影响,促进更广泛的技术创新和学术合作。

在AI研究进入新时代的关键节点,DAPO既是一个强大的技术工具,也是一个重要的思想灵感源泉。它促使我们从创新角度思考大语言模型训练面临的根本性挑战,并提供了系统性解决这些挑战的技术路径。

论文:

https://avoid.overfit.cn/post/ec5645f4c0844a38ae489b3b5be61db1

作者:Jenray

目录
相关文章
|
8月前
|
机器学习/深度学习 人工智能 算法
GSPO:Qwen让大模型强化学习训练告别崩溃,解决序列级强化学习中的稳定性问题
这是7月份的一篇论文,Qwen团队提出的群组序列策略优化算法及其在大规模语言模型强化学习训练中的技术突破
1708 0
GSPO:Qwen让大模型强化学习训练告别崩溃,解决序列级强化学习中的稳定性问题
|
7月前
|
机器学习/深度学习 并行计算 小程序
DeepSeek-V3.2-Exp 发布,训练推理提效,API 同步降价
今天,我们正式发布 DeepSeek-V3.2-Exp 模型,这是一个实验性( Experimental)的版本。作为迈向新一代架构的中间步骤,V3.2-Exp 在 V3.1-Terminus 的基础上引入了 DeepSeek Sparse Attention(一种稀疏注意力机制…
862 0
DeepSeek-V3.2-Exp 发布,训练推理提效,API 同步降价
|
机器学习/深度学习 数据处理
大语言模型中的归一化技术:LayerNorm与RMSNorm的深入研究
本文分析了大规模Transformer架构(如LLama)中归一化技术的关键作用,重点探讨了LayerNorm被RMSNorm替代的原因。归一化通过调整数据量纲保持分布形态不变,提升计算稳定性和收敛速度。LayerNorm通过均值和方差归一化确保数值稳定,适用于序列模型;而RMSNorm仅使用均方根归一化,省略均值计算,降低计算成本并缓解梯度消失问题。RMSNorm在深层网络中表现出更高的训练稳定性和效率,为复杂模型性能提升做出重要贡献。
3039 14
大语言模型中的归一化技术:LayerNorm与RMSNorm的深入研究
|
机器学习/深度学习 存储 人工智能
SEARCH-R1: 基于强化学习的大型语言模型多轮搜索与推理框架
SEARCH-R1是一种创新的强化学习框架,使大型语言模型(LLM)具备多轮搜索与推理能力。它通过强化学习自主生成查询并优化基于检索结果的推理,无需人工标注数据。相比传统RAG或工具使用方法,SEARCH-R1显著提升问答性能,在多个数据集上实现26%以上的相对性能提升。其核心优势在于强化学习与搜索的深度融合、交错式多轮推理机制及令牌级损失屏蔽技术,推动了LLM在复杂推理和实时知识获取方面的边界。尽管存在奖励函数设计简化等局限性,SEARCH-R1为构建更智能的交互系统提供了重要参考。
1225 7
SEARCH-R1: 基于强化学习的大型语言模型多轮搜索与推理框架
|
11月前
|
存储 机器学习/深度学习 缓存
vLLM 核心技术 PagedAttention 原理详解
本文系统梳理了 vLLM 核心技术 PagedAttention 的设计理念与实现机制。文章从 KV Cache 在推理中的关键作用与内存管理挑战切入,介绍了 vLLM 在请求调度、分布式执行及 GPU kernel 优化等方面的核心改进。PagedAttention 通过分页机制与动态映射,有效提升了显存利用率,使 vLLM 在保持低延迟的同时显著提升了吞吐能力。
6232 21
vLLM 核心技术 PagedAttention 原理详解
|
测试技术
通义千问团队开源全新的过程奖励模型PRM!
近年来,大型语言模型(LLMs)在数学推理方面取得了显著进展,但它们仍可能在过程中犯错误,如计算错误或逻辑错误,导致得出不正确的结论;即使最终答案正确,这些强大的模型也可能编造看似合理的推理步骤,这削弱了 LLMs 推理过程的可靠性和可信度。
1286 14
|
8月前
|
机器学习/深度学习 算法 数据可视化
近端策略优化算法PPO的核心概念和PyTorch实现详解
本文深入解析了近端策略优化(PPO)算法的核心原理,并基于PyTorch框架实现了完整的强化学习训练流程。通过Lunar Lander环境展示了算法的全过程,涵盖环境交互、优势函数计算、策略更新等关键模块。内容理论与实践结合,适合希望掌握PPO算法及其实现的读者。
1290 2
近端策略优化算法PPO的核心概念和PyTorch实现详解
|
10月前
|
机器学习/深度学习 自然语言处理 测试技术
Qwen3技术报告首次全公开!“混合推理模型”是这样炼成的
近日,通义千问Qwen3系列模型已开源,其技术报告也正式发布。Qwen3系列包含密集模型和混合专家(MoE)模型,参数规模从0.6B到235B不等。该模型引入了“思考模式”与“非思考模式”的动态切换机制,并采用思考预算机制优化推理性能。Qwen3支持119种语言及方言,较前代显著提升多语言能力,在多个基准测试中表现领先。此外,通过强到弱蒸馏技术,轻量级模型性能优异,且计算资源需求更低。所有Qwen3模型均采用Apache 2.0协议开源,便于社区开发与应用。
6982 30
|
数据采集 人工智能 API
Qwen2.5-Coder深夜开源炸场,Prompt编程的时代来了!
通义千问团队开源「强大」、「多样」、「实用」的 Qwen2.5-Coder 全系列,致力于持续推动 Open Code LLMs 的发展。