开发者学堂课程【人工智能必备基础:概率论与数理统计:期望求解】学习笔记,与课程紧密联系,让用户快速学习知识。
课程地址:https://developer.aliyun.com/learning/course/545/detail/7412
期望求解
内容介绍:
一、二维情况
二、例题 1
三、例题 2
四、数学期望的性质
五、例题 3
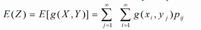
一、二维情况
1. 离散型:
,
则 Z=g(X,Y)的期望
2. 连续型:
若二维连续型随机变量(X,Y)的概率密度为:z=g(x,y)
二、例题1
设二维随机变量(X,Y)的联合分布律
求随机变量
的数学期望
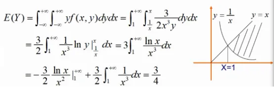
三、例题2
随机变量(X,Y)的概率密度为:
求数学期望 E(Y)
四、数学期望的性质
1.设 C 是常数,则有 E(C)=C
2.设 X 是一个随机变量,C 是常数,则有 E(CX)=CE(X)
3.设 X,Y 是两个随机变量,则有 E(X+Y)=E(X)+E(Y)
将上面三项合起来就是: E(aX+bY+c)=aE(X)+bE(Y)+c
4. 设 X.Y 是相互独立的随机变量,则有 E(XY)=E(X)E(Y)
五、例题3
一民航送客车载有 20 位旅客自机场出发,旅客有 10 个车站可以下车,如到达一个车站没有旅客下车就不停车,以 X 表示停车的次数,求 E(X)。








