开发者学堂课程【人工智能必备基础:概率论与数理统计:期望】学习笔记,与课程紧密联系,让用户快速学习知识。
课程地址:https://developer.aliyun.com/learning/course/545/detail/7411
期望
一、期望
1.很多时候我们需要掌握的是一个具体的指标,比如粮食的平均产量
一个地区家庭的平均年收入,贫富差距等。
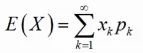
2.离散型随机变量X的分布律为:
若级数
绝对收敛,则称其为随机变量 X 的数学期望,
3.投骰子的期望等于多少?
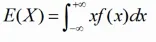
连续型随机变量X的概率密度为 f(x),若积分
绝对收敛,则称积分的值
为随机变量 X 的数学期望。
随机变量 X 满足于均匀分布,求其期望。






