简单随机抽样 | 学习笔记

简介: 快速学习简单随机抽样

开发者学堂课程【人工智能必备基础:概率论与数理统计:简单随机抽样】学习笔记,与课程紧密联系,让用户快速学习知识。

课程地址:https://developer.aliyun.com/learning/course/545/detail/7421


简单随机抽样

一、简单随机抽样

抽取的样本满足两点

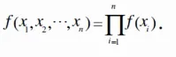
(1)样本 X1,X2....Xn 是相互独立的随机变量

(2)样本 X1,X2....Xn 与总体 X 同分布

联合分布函数:

image.png

联合概率密度:

image.png

相关文章
Flutter基础widgets教程-IconButton篇
Flutter基础widgets教程-IconButton篇
537 0
|
存储 网络协议 Linux
|
存储 搜索推荐 Java
springboot280基于WEB的旅游推荐系统设计与实现
springboot280基于WEB的旅游推荐系统设计与实现
|
JSON 分布式计算 关系型数据库
Spark中使用DataFrame进行数据转换和操作
Spark中使用DataFrame进行数据转换和操作
|
数据采集 人工智能 物联网
用Gamma一键生成PPT,智能AI改变未来工作方式
用Gamma一键生成PPT,智能AI改变未来工作方式
2580 1
用Gamma一键生成PPT,智能AI改变未来工作方式
|
传感器 数据采集 物联网
基于STM32的光敏传感器数据采集系统-嵌入式系统与设计课程设计1
基于STM32的光敏传感器数据采集系统-嵌入式系统与设计课程设计
1122 0
|
机器学习/深度学习 算法 安全
机器学习——实践
机器学习——实践
870 0
|
机器学习/深度学习 关系型数据库 数据挖掘
Pandas 2.0 vs Polars:速度的全面对比
前几天的文章,我们已经简单的介绍过Pandas 和Polars的速度对比。刚刚发布的Pandas 2.0速度得到了显著的提升。但是本次测试发现NumPy数组上的一些基本操作仍然更快。并且Polars 0.17.0,也在上周发布,并且也提到了性能的改善,所以我们这里做一个更详细的关于速度方面的评测。
486 0
Pandas 2.0 vs Polars:速度的全面对比
|
JavaScript
Vue+Echarts: 实现饼状图的详细教程
Vue+Echarts: 实现饼状图的详细教程
1396 0
|
缓存 网络协议 网络架构
四十、TCP协议的特点、TCP报文段格式和TCP的连接管理
四十、TCP协议的特点、TCP报文段格式和TCP的连接管理
四十、TCP协议的特点、TCP报文段格式和TCP的连接管理