开发者学堂课程【人工智能必备基础:概率论与数理统计:极(最)大似然估计】学习笔记,与课程紧密联系,让用户快速学习知识。
课程地址:https://developer.aliyun.com/learning/course/545/detail/7419
极(最)大似然估计
内容介绍:
一、为什么叫极大似然估计?
二、案例-谁干掉的多?
三、极大似然估计
四、极大似然估计求解
一、为什么叫极大似然估计?
1.之前举的例子绝杀球投进的例子,那么我们就要思考谁投进的概率是最大的
2.我们通常希望,在基础建模数学当中,拿到一组数据之后,想要知道构成一组数据的参数是什么,并且要找出一个参数值使得这组数据变得更大
二、案例-谁干掉的多?
在一次吃鸡比赛中,有两位选手,一个是职业选手,一个是菜鸟路人。比赛结束后,公布结果有一位选手完成 20 杀,请问是哪个选手呢?
估计大家都选的是职业选手吧!
因为我们会普遍认为概率最大的事件最有可能发生!
极大似然估计:在一次抽样中,得到观测值 x1,x2...xn。
选取 θ‘(x1,x2...xn) 作为的 θ 估计值,使得 θ=θ’(x1x2...xn) 时样本出现的概率最大。
三、极大似然估计
1.离散型样本:
2.连续型样本:
累乘函数
3.极大似然估计:
求解自然函数值越大越好
四、极大似然估计求解
1.常规解法
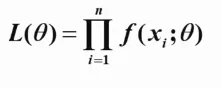
①构造似然函数:
(累乘)
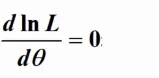
②对似然函数取对数:
取对数之后会使值好解,加上 ln 函数以后,我们会发现函数值改变,但是我们需要求的极值点保持不变
③求偏导:
④求解得到 θ 值
2.小例题
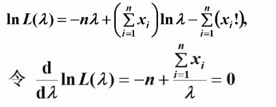
设 X 服从参数λ(λ>0)的泊松分布,x1,x2.....xn 是来自于X的一个样本值,求 λ 的极大似然估计值
因为 X 的分布律为
所以 λ 的似然函数为
然后,
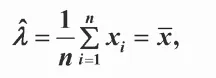
解得 λ 的极大似然估计值为










