开发者学堂课程【人工智能必备基础:概率论与数理统计:二维连续型随机变量】学习笔记,与课程紧密联系,让用户快速学习知识。
课程地址:https://developer.aliyun.com/learning/course/545/detail/7409
二维连续型随机变量
内容介绍
一、二维连续型随机变量
二、例题
一、二维连续型随机变量
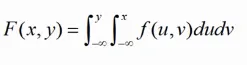
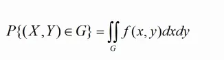
二维随机变量(X,Y)的分布函数F(x,y)如果存在非负函数f(x,y),对于任意x,y 有:
称(X,Y)为连续型的二维随机变量,f(x,y)为其概率密度
二、例题
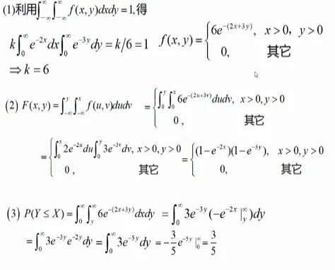
设二维随机变量(X,Y)具有概率密度:
(1)求常数 k
(2)求分布函数 F(x,y)
(3)求 P(Y≤X)的概率




