开发者学堂课程【人工智能必备基础:高等数学:连续性与导数】学习笔记,与课程紧密联系,让用户快速学习知识。
课程地址:https://developer.aliyun.com/learning/course/542/detail/7379
连续性与导数
内容简介
一.函数的连续性
二.函数的间断点
三.导数
一.函数的连续性
1.设函数 y=f(x)在点 x。的某邻域内有定义,如果当自变量的改变量 x 趋近于零时,相应函数的改变量 y 也趋近于零,则称 y=f(x)在点 。处连续。
2.函数 f(x)在点 x 处连续,需要满足的条件:
(1)函数在该点处有定义
(2)函数在该点处极限存在
(3)极限值等于函数值 f(x0)
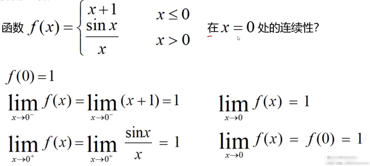
3.例题函数的连续性
(X 在0+,0-时都趋近于1,所以 x 趋近于0时极限为1,极限值与函数值相同,所以在 x=0处连续)
二.函数的间断点
1.概念函数 f(x)在点 x=x 处不连续,则称其为函数的间断点。
3种情况为间断点:
(1)函数 f(x)在点 x 处没有定义。
(2)极限不存在
(3)满足前两点,但是≠f(x)
2.说明
(1)当 x→x0时,f(x)的左右极限存在,则称 x 为 f(x)的第一类间断点否则为第二类间断点。
(2)跳跃间断点:与均存在,但不相等。
(3)可去间断点:存在但不等于 f(x0)
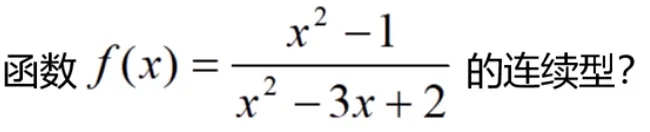
3.例题
在点 x=2,x=1处没有定义。
在 x=1处是可去间断点
在 x=2处是第二类间断点
三.导数
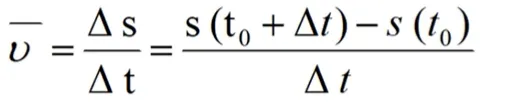
1.平均速度:(速度) V=S(路程)/T(时间)但是如何表示瞬时速度
呢?
瞬时经过路程:Δs=s(to+Δt)-s(to)
这一小段的平均速度:
当△t→0时也就是瞬时速度了
如果平均变化率的极限存在,
则称此极限为函数 y=f(x)在点 x 处的导数 f‘(X0)
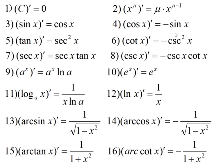
2.常用求导公式
3.求导运算公式










