开发者学堂课程【人工智能必备基础:微积分:定积分】学习笔记,与课程紧密联系,让用户快速学习知识。
课程地址:https://developer.aliyun.com/learning/course/544/detail/7393
定积分
内容介绍
一、定积分
二、基本概念
三、定积分的几何含义
四、利用定义计算定积分
一、定积分
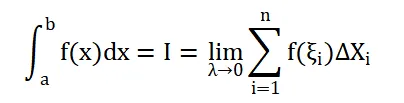
当 △x→0 时,总和 S 总是趋于确定的极限 l,则称极限 l 为函数 f(x)
在曲线 [a,b] 上的定积分。
b:积分上限
a:积分下限
f(x):被积函数(曲线)
f(x)dx:被积表达式
X:积分变量
△Xi:积分和
[a,b]积分区间
二、基本概念
1.积分值和被积函数与积分曲线有关,与积分变量字母无关。
2. 当函数 f (x) 在区间 [a,b] 上的定积分存在的时候,称 f(x) 在区间 [a,b] 上可积
三、定积分的几何含义
1.面积的正负值:
f(x)>0,
f(x)<0,
2.代数和,上方为正,下方为负。
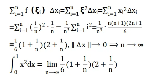
四、利用定义计算定积分
将 [0,1]n 等分,分点为 Xi=i/n, (i=1,2,…,n)
小区间[Xi-1,Xi]的长度△Xi=,(i= 1,2,…,n)
取&i=Xi,(i = 1,2,…,n)






