吴恩达deeplearning.ai五项课程完整笔记了解一下?

简介:

Deeplearning.ai 课程开课以来,一直受到大家的关注,也有众多读者积极的参与到学习中。Mahmoud Badry 完成的笔记主要分为五部分,分别对应神经网络与深度学习基础、提升 DNN 性能的技巧与方法等、结构化机器学习项目、卷积神经网络和序列模型五门课程。值得注意的是,该项目完成的笔记十分详细,基本上五门课程的知识点全都覆盖到了。例如第一项课程以每周不同主题为序记录了从神经网络简介到 Goodfellow 采访等基本知识点。

由于前四课很多知识点都已经介绍过,因此本文我们着重介绍第五课的笔记概要,读者可自行查阅 GitHub 阅读完整的笔记。

第五课序列模型简介

本课程将讲授如何构建自然语言、音频和其他序列数据的模型。在深度学习的帮助下,序列算法比两年前效果更好,用于大量有趣的应用,如语音识别、音乐合成、聊天机器人、机器翻译、自然语言理解等。学完本课,你将:

8481c8f592b7f349aa84a1de5c171db681516edf 了解如何构建和训练循环神经网络(RNN)及其常用变体,如 GRU 和 LSTM。
8481c8f592b7f349aa84a1de5c171db681516edf 使用序列模型处理自然语言问题,如文本合成。
8481c8f592b7f349aa84a1de5c171db681516edf 将序列模型应用到音频应用中,如语音识别和音乐合成。
8481c8f592b7f349aa84a1de5c171db681516edf 这是 Deep Learning Specialization 课程的第五课,也是最后一课。

适用人群:

8481c8f592b7f349aa84a1de5c171db681516edf 学完第一、二、四课的学习者。同样推荐大家学习第三课。
8481c8f592b7f349aa84a1de5c171db681516edf 已经对神经网络(包括 CNN)具备深厚理解,并想学习如何开发循环神经网络的人。

该课程介绍循环神经网络(RNN)、自然语言处理和词嵌入还有序列模型和注意力机制等,以下将简要介绍 Mahmoud Badry 所完成的序列模型笔记。

序列模型:

序列模型(如 RNN 和 LSTM)极大地改变了序列学习,序列模型可通过注意力机制获得增强。序列模型在语音识别、音乐生成、情感分类、DNA 序列分析、机器翻译、视频活动识别、命名实体识别等方面得到应用。

循环神经网络模型(RNN)

循环神经网络出现于 20 世纪 80 年代,最近由于网络设计的推进和图形处理单元上计算能力的提升,循环神经网络变得越来越流行。这种网络尤其是对序列数据非常有用,因为每个神经元或者单元能用它的内部存储来保存之前输入的相关信息。在语言的案例中,「I had washed my house」这句话的意思与「I had my house washed」大不相同。这就能让网络获取对该表达更深的理解。

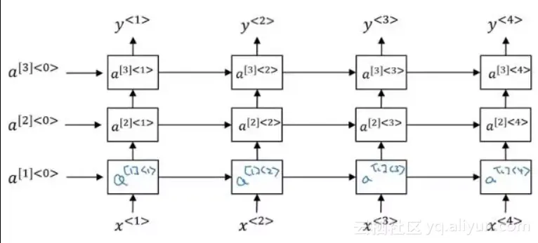
RNN 有很多应用,在自然语言处理(NLP)领域表现良好。下图是一个用于解决命名实体识别任务的 RNN 网络。

f7b49a1c41a400dfd3b74fdfdcdedf26acc6d023

用于解决命名实体识别任务的 RNN 网络。

7be421574f33a082b0a3aa978176d8a78150f4a5

简化版 RNN 表示法。

沿时间的反向传播(BPTT)

bc1abf95ad96ac858c7f41d62dc202c2c763bf1e

RNN 架构中的反向传播,w_a、b_a、w_y、b_y 被序列中的所有元素共享。

这里使用交叉熵损失函数:

55a670cb2057ff68453332c8b0b75b069eae5f88

其中第一个公式是序列中一个元素的损失函数,整个序列的损失是每个元素的损失之和。

edc18db880f269455d37c6519d0d2b9f9c83ce8f

在上图中沿时间反向传播中,激活值 a 从一个序列元素向另一个元素传播。

RNN 的类型

27ad11446a2b6e70f668c3490bf513bdd9b902d7

RNN 的不同类型。

RNN 的梯度消失

梯度消失指的是随着网络深度增加,参数的梯度范数指数式减小的现象。梯度很小,意味着参数的变化很缓慢,从而使得学习过程停滞。循环神经网络在语言建模等序列问题上有非常强大的力量,但同时它也存在很严重的梯度消失问题。因此像 LSTM 和 GRU 等基于门控的 RNN 有非常大的潜力,它们使用门控机制保留或遗忘前面时间步的信息,并形成记忆以提供给当前的计算过程

门控循环单元(GRU)

GRU 旨在解决标准 RNN 中出现的梯度消失问题。GRU 背后的原理与 LSTM 非常相似,即用门控机制控制输入、记忆等信息而在当前时间步做出预测,表达式如下:

cb16d1ed529f68be8906929754527832f9a59dc7

GRU 有两个有两个门,即一个重置门(reset gate)和一个更新门(update gate)。从直观上来说,重置门决定了如何将新的输入信息与前面的记忆相结合,更新门定义了前面记忆保存到当前时间步的量。如果我们将重置门设置为 1,更新门设置为 0,那么我们将再次获得标准 RNN 模型。使用门控机制学习长期依赖关系的基本思想和 LSTM 一致,但还是有一些关键区别:

8481c8f592b7f349aa84a1de5c171db681516edf GRU 有两个门(重置门与更新门),而 LSTM 有三个门(输入门、遗忘门和输出门)。
8481c8f592b7f349aa84a1de5c171db681516edf GRU 并不会控制并保留内部记忆(c_t),且没有 LSTM 中的输出门。
8481c8f592b7f349aa84a1de5c171db681516edf LSTM 中的输入与遗忘门对应于 GRU 的更新门,重置门直接作用于前面的隐藏状态。
8481c8f592b7f349aa84a1de5c171db681516edf 在计算输出时并不应用二阶非线性。

为了解决标准 RNN 的梯度消失问题,GRU 使用了更新门(update gate)与重置门(reset gate)。基本上,这两个门控向量决定了哪些信息最终能作为门控循环单元的输出。这两个门控机制的特殊之处在于,它们能够保存长期序列中的信息,且不会随时间而清除或因为与预测不相关而移除。

cabd985674e73193fe74b4ba23dd789f787fab92

带有门控循环单元的循环神经网络

以下展示了单个门控循环单元的具体结构。

aa298b6de5dcee572605d448818964fd2d7dd245

门控循环单元

LSTM

使用传统的通过时间的反向传播(BPTT)或实时循环学习(RTTL/Real Time Recurrent Learning),在时间中反向流动的误差信号往往会爆炸(explode)或消失(vanish)。但 LSTM 可以通过遗忘和保留记忆的机制减少这些问题。

LSTM 单元一般会输出两种状态到下一个单元,即单元状态和隐藏状态。记忆块负责记忆各个隐藏状态或前面时间步的事件,这种记忆方式一般是通过三种门控机制实现,即输入门、遗忘门和输出门。

以下是 LSTM 单元的详细结构,其中 Z 为输入部分,Z_i、Z_o 和 Z_f 分别为控制三个门的值,即它们会通过激活函数 f 对输入信息进行筛选。一般激活函数可以选择为 Sigmoid 函数,因为它的输出值为 0 到 1,即表示这三个门被打开的程度。

e6ac5a7621214a1275201c02b1532b79c655d8b7

图片来源于李弘毅机器学习讲义。

若我们输入 Z,那么该输入向量通过激活函数得到的 g(Z) 和输入门 f(Z_i ) 的乘积 g(Z) f(Z_i ) 就表示输入数据经筛选后所保留的信息。Z_f 控制的遗忘门将控制以前记忆的信息到底需要保留多少,保留的记忆可以用方程 c*f(z_f)表示。以前保留的信息加上当前输入有意义的信息将会保留至下一个 LSTM 单元,即我们可以用 c' = g(Z)f(Z_i) + cf(z_f) 表示更新的记忆,更新的记忆 c' 也表示前面与当前所保留的全部有用信息。我们再取这一更新记忆的激活值 h(c') 作为可能的输出,一般可以选择 tanh 激活函数。最后剩下的就是由 Z_o 所控制的输出门,它决定当前记忆所激活的输出到底哪些是有用的。因此最终 LSTM 的输出就可以表示为 a = h(c')f(Z_o)。

双向 RNN(BRNN)

双向 RNN 和深度 RNN 是构建强大序列模型的有效方法。下图是一个命名实体识别任务的 RNN 模型:

a932879bad6bacedeb5ea1aa46c0a75756dfa8c6

BRNN 架构

f62c468e714d729e60d21424ab645057728bc9a1

BRNN 的缺点是在处理之前需要整个序列。

深度 RNN

深度 RNN 可帮助构建强大的序列模型。

4f506684721b451472c29ed1d66017d05148b1ee

3 层深度 RNN 图示。

RNN 的反向传播

在现代深度学习框架中,你只需实现前向传播,框架会执行反向传播,因此大部分机器学习工程师不需要担心反向传播。但是,如果你是微积分专家,想了解 RNN 中反向传播的细节,可参考该 notebook:https://www.coursera.org/learn/nlp-sequence-models/notebook/X20PE/building-a-recurrent-neural-network-step-by-step。

自然语言处理与词表征

词表征在自然语言处理中是必不可少的部分,从早期的 One-Hot 编码到现在流行的词嵌入,研究者一直在寻找高效的词表征方法。Mahmoud Badry 在笔记中详细记录了词嵌入方法,包括用于命名实体识别、人脸识别和翻译系统的词嵌入等,下图展示了用于人脸识别的词嵌入结构:

52c9a181b3795824404057eb4e4142e2e7e64cf1

在这种词嵌入方法中,我们可以将不同的人脸编码压缩为一个向量,进而根据该向量比较是不是同一张脸。

词嵌入有非常多的优秀属性,例如给定一张词嵌入表。该笔记用案例来解释词嵌入的语义相近关系,如下图所示,男性变化到女性与国王变化到女王的反向在嵌入空间内是相同的,这意味着词嵌入捕捉到了词与词之间的语义相关性。

fb29a5ff486f228ea60db2bc407d72168b064b20

一般来说,Word2Vec 方法由两部分组成。首先是将高维 one-hot 形式表示的单词映射成低维向量。例如将 10,000 列的矩阵转换为 300 列的矩阵,这一过程被称为词嵌入。第二个目标是在保留单词上下文的同时,从一定程度上保留其意义。Word2Vec 实现这两个目标的方法有 skip-gram 和 CBOW 等,skip-gram 会输入一个词,然后尝试估计其它词出现在该词附近的概率。还有一种与此相反的被称为连续词袋模型(Continuous Bag Of Words,CBOW),它将一些上下文词语作为输入,并通过评估概率找出最适合(概率最大)该上下文的词。

对于连续词袋模型而言,Mikolov 等人运用目标词前面和后面的 n 个词来同时预测这个词。他们称这个模型为连续的词袋(CBOW),因为它用连续空间来表示词,而且这些词的先后顺序并不重要。CBOW 可以看作一个具有先知的语言模型,而 skip-gram 模型则完全改变将语言模型的目标:它不像 CBOW 一样从周围的词预测中间的词;恰恰相反,它用中心语去预测周围的词。

Mahmoud Badry 还展示了另一种学习词嵌入的方法 GloVe,该方法虽然不像语言模型那样使用广泛,但它精简的结构非常容易理解:

e059a5f3e3aea761b6b248eb1d4f130729c7378d

序列模型与注意力机制

最后一部分作者着重介绍了注意力机制,包括编码器解码器架构的缺陷和引入注意力机制的解决方案。下图展示了使用语境向量 C 或注意力权重编码信息的过程。

f8d041452ecb2a75b69d480c95d051fcde2ffaca

其实当我们翻译一个句子时,会尤其关注于正在翻译的单词。神经网络可以通过注意力来实现同样的行为,即关注所收到信息子集的一部分。

我们通常是使用基于上下文的注意力生成注意力分布。参与的 RNN 会生成一个描述它想关注内容的查询。每一个条目和这个查询做点乘来产生一个分数,这个分数描述这个条目与查询匹配程度。这些分数被输入一个 softmax 来生成注意力分布。


原文发布时间为:2018-03-16

本文来自云栖社区合作伙伴“数据派THU”,了解相关信息可以关注“数据派THU”微信公众号

相关文章
|
6月前
|
人工智能 弹性计算 大数据
和五所高校一起,我们共同打造了一门 AI 课程!
阿里云、超星尔雅协同北京大学、南京大学、复旦大学、上海交通大学、浙江大学五所高校名师,共同推出的 AI 通识公益系列课程「动手学 AI:人工智能通识与实践」将于 9月 1 日面向全国所有高校、所有专业的师生正式开放。
556 5
|
7月前
|
人工智能 文字识别 供应链
高校实验实训课程开发:基于现有的硬件基础和开源能力研发最前沿的AI实验课程
更多基于学校现有硬件基础:企业需求场景的开发和发展,更加注重上层数据和应用,各类工具软件的出现,极大提升了各类硬件的应用价值。我们看到各类硬件厂商,想方设法把硬件卖给学校,但是很多硬件不是在那里尘封,就是寥寥无几的使用场景,我们希望基于学校现有的硬件基础去开发更多面向不同行业或专业的实验实训课程,物尽其用。基于学校现有的硬件,集约开发,极大降低硬件投入成本。
312 7
|
9月前
|
人工智能 API 开发者
用Qwen3+MCPs实现AI自动发布小红书笔记!支持图文和视频
魔搭自动发布小红书MCP,是魔搭开发者小伙伴实现的小红书笔记自动发布器,可以通过这个MCP自动完成小红书标题、内容和图片的发布。
3114 41
|
9月前
|
Web App开发 人工智能 JSON
Windows版来啦!Qwen3+MCPs,用AI自动发布小红书图文/视频笔记!
上一篇用 Qwen3+MCPs实现AI自动发小红书的最佳实践 有超多小伙伴关注,同时也排队在蹲Windows版本的教程。
1753 1
|
10月前
|
机器学习/深度学习 人工智能 自动驾驶
企业内训|模拟AI场景课程——某汽车厂商
4月18日和19日,东北某市,TsingtaoAI团队为某汽车厂商的智能驾驶业务和研发团队交付“模拟AI场景课程”。本课程基于该厂商在AI领域的战略布局,结合汽车行业智能化转型趋势,以“场景化、实战化、前瞻性”为核心,聚焦AI技术从理论到落地的全链路。通过模拟真实业务场景(如智能座舱优化、智能制造、自动驾驶仿真),帮助学员掌握AI基础能力,并快速应用于研发、生产、营销等环节。
409 4
|
10月前
|
机器学习/深度学习 人工智能 自然语言处理
ai人工智能课程学什么
本内容全面介绍了AI课程的核心体系,涵盖基础理论、核心算法、应用领域及伦理责任等方面。从数学基础与编程技能到机器学习和深度学习算法,再到自然语言处理与计算机视觉等应用领域,系统阐述了AI技术的全貌。同时探讨了开发框架如TensorFlow和PyTorch的使用,并关注AI伦理与社会责任。通过分步验证与实践经验,帮助学习者规避AI局限性。展望未来,生成式人工智能等新兴技术将持续推动课程发展,助力职业成长与社会进步。
|
11月前
|
机器学习/深度学习 人工智能 运维
AI和开源时代的计算机课程建设和改革建议
人工智能与开源技术正深刻影响高校计算机教育。通过构建“AI+开源”驱动的课程体系,深化专业课AI融合,强化跨学科项目学习,可培养复合型人才。同时,打造开源实验平台、推广智能教学模式、共建产教融合生态,并加强AI伦理教育,将推动教育数字化转型。Websoft9等工具为连接理论与实践提供支持,助力高校培养适应未来的技术人才。
|
人工智能 自然语言处理 JavaScript
微软开源课程!21节课程教你开发生成式 AI 应用所需了解的一切
微软推出的生成式 AI 入门课程,涵盖 21 节课程,帮助开发者快速掌握生成式 AI 应用开发,支持 Python 和 TypeScript 代码示例。
1097 15
|
人工智能 API
新年课程开启:手把手教学,0基础5次课程学会搭建无限拓展的AI应用
你是否想过自己也能动手搭建一个AI应用?现在,这个目标触手可及!
322 9
|
人工智能 安全 开发者
吴恩达2024 AI总结 | AI大咖说
吴恩达对2024年AI领域重要进展的快速摘要,主要总结了AI技术及应用在多个方面的显著进步,包括代理系统的兴起、价格的下降、模型体积的缩小等
326 6