3.9 共轭性
贝塔分布可以表征伯努利分布中参数的概率,与之相似,狄利克雷分布可表征分类分布参数的分布,同样的类比关系也适用于正态逆伽马分布与一元正态分布、正态逆维希特分布与多元正态分布之间。
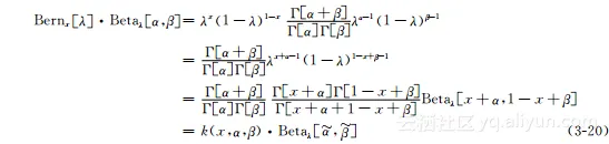
这些配对有很特殊的关系:在每种情况下前一个分布是后一个的共轭:贝塔分布与伯努利分布共轭,狄利克雷分布与分类分布共轭。当把一个分布与其共轭分布相乘时,结果正比于一个新的分布,它与共轭形式相同。例如:
其中,k是缩放因子,相对于变量λ它是一个常量。值得注意的是,这个式子并不总是成立:如果选择其他分布而非贝塔分布,那么这个乘积的形式将发生变化。对于这种情况,式(3-19)中的关系很容易证明:
其中,第三行中同时乘以和除以与Betaλ[α,β]关联的常量。
在学习(拟合分布)和评估模型(评估在拟合分布下新数据的概率)的过程中会用到分布的乘积,因此共轭关系很重要。共轭关系意味着这些乘积可以闭式求解。