2.4 条件概率

图2-5 条件概率x和y的联合概率密度函数以及两个条件概率分布Pr(xy=y1)和Pr(xy=y2)。通过从联合概率密度函数中提取切片并规范化,确保区域一致。同样的操作也适用于离散分布给定y取y时x的条件概率,是随机变量x在y取固定值y时x的相对概率的取值。这个条件概率记为Pr(xy=y*)。“”可以理解为“给定”。
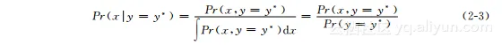
条件概率Pr(xy=y)可以由联合分布Pr(x,y)计算出来。特别是,计算联合分布中某个恰当的切片Pr(x,y=y)(见图2-5)。切片值表示出当y=y*时x取不同值的相对概率,但其本身没有形成有效的概率分布。因为它们仅构成联合分布的一小部分,其总和不会是1,而联合概率自身总和为1。为计算条件概率分布,因此需要规范化切片中的总概率
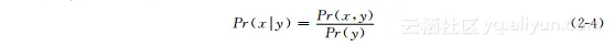
其中,使用边缘概率关系式(式(2-1))去简化分母。通常情况下不会显式定义y=y*,所以条件概率关系式可简化缩写为:
重新整理得到:
由对称性也可得:
当有两个以上的变量时,可以不断用条件概率分布将联合概率分布分解为乘积形式: