【无人机协同】动态环境下多无人机系统的协同路径规划与防撞研究(Matlab代码实现)​

简介: 【无人机协同】动态环境下多无人机系统的协同路径规划与防撞研究(Matlab代码实现)​

💥💥💞💞欢迎来到本博客❤️❤️💥💥

🏆博主优势:🌞🌞🌞博客内容尽量做到思维缜密,逻辑清晰,为了方便读者。

⛳️座右铭:行百里者,半于九十。

📋📋📋本文内容如下:🎁🎁🎁

⛳️赠与读者

👨‍💻做科研,涉及到一个深在的思想系统,需要科研者逻辑缜密,踏实认真,但是不能只是努力,很多时候借力比努力更重要,然后还要有仰望星空的创新点和启发点。建议读者按目录次序逐一浏览,免得骤然跌入幽暗的迷宫找不到来时的路,它不足为你揭示全部问题的答案,但若能解答你胸中升起的一朵朵疑云,也未尝不会酿成晚霞斑斓的别一番景致,万一它给你带来了一场精神世界的苦雨,那就借机洗刷一下原来存放在那儿的“躺平”上的尘埃吧。

    或许,雨过云收,神驰的天地更清朗.......🔎🔎🔎

💥1 概述

动态环境下多无人机系统协同路径规划与防撞研究

摘要

在动态环境下,多无人机系统的协同路径规划与防撞是确保无人机安全、高效执行任务的关键技术。本文综述了多无人机协同路径规划与防撞的研究背景、意义、关键技术、研究方法及最新进展,并提出了未来研究方向。

1. 引言

随着无人机技术的快速发展,多无人机协同作业在军事侦察、环境监测、物流配送等领域展现出巨大潜力。然而,在动态环境下,无人机面临着复杂多变的环境和不确定的障碍物,如何实现多无人机之间的协同路径规划与防撞成为亟待解决的问题。

2. 研究背景与意义

2.1 研究背景

动态环境下的多无人机协同路径规划与防撞涉及环境感知、信息交互、决策控制等多个方面。传统路径规划方法难以应对动态环境中的不确定性,因此需要研究新的协同路径规划与防撞算法。

2.2 研究意义

  • 提高安全性:有效的防撞策略能够显著降低无人机碰撞事故的发生率,保障无人机自身及周围环境的安全。
  • 提升效率:良好的协同路径规划能够优化无人机的飞行路径和飞行计划,减少因避免碰撞而产生的额外飞行时间和能量消耗,提高多无人机协同作业的效率。
  • 推动技术发展:多无人机协同防碰撞技术的研究有助于推动无人机技术的进一步发展,促进通信、导航、控制等相关技术的创新和融合。

3. 关键技术

3.1 环境感知技术

无人机需要配备多种传感器(如激光雷达、毫米波雷达、视觉相机等)来实时感知周围环境信息,包括障碍物的位置、速度、形状等。

3.2 信息交互技术

无人机之间需要通过高速通信链路进行信息交互,共享位置、速度、任务等信息,以实现协同决策和控制。

3.3 路径规划算法

  • 基于规则的方法:根据预先设定的规则(如最小安全距离规则、优先通行权规则等)来判断是否存在碰撞风险,并采取相应的避障措施。
  • 基于优化算法的方法:利用智能优化算法(如遗传算法、粒子群算法、蚁群算法等)在复杂环境中寻找最优路径。
  • 基于智能算法的方法:结合深度学习、强化学习等智能算法,使无人机能够自主学习和适应动态环境,实现更高效的路径规划和防撞。

3.4 决策控制技术

无人机需要根据感知到的环境信息和交互到的其他无人机信息,通过决策控制算法快速做出避障和路径调整决策,确保飞行安全。

4. 研究方法

4.1 数学建模

建立多无人机协同路径规划与防撞的数学模型,明确无人机的运动规律和避障策略。

4.2 算法设计

基于上述关键技术,设计适用于动态环境下的多无人机协同路径规划与防撞算法。

4.3 仿真验证

通过仿真实验验证算法的有效性,并对算法进行优化和改进。仿真环境可以包括二维平面、三维空间等多种场景,以模拟不同的动态环境。

4.4 实地测试

在实地环境中对算法进行测试和验证,进一步评估算法的实用性和可靠性。

5. 最新研究进展

5.1 基于深度强化学习的路径规划

近年来,深度强化学习在无人机路径规划领域取得了显著进展。通过构建深度神经网络模型,无人机能够自主学习和适应动态环境,实现更高效的路径规划和防撞。

5.2 基于分布式协同控制的路径规划

分布式协同控制技术使得每架无人机能够基于局部信息进行自主决策,同时与其他无人机保持协同。这种方法提高了系统的鲁棒性和可扩展性,适用于大规模多无人机系统的路径规划。

5.3 基于模型预测控制的路径规划

模型预测控制(MPC)技术通过建立无人机的动态模型,预测无人机在未来一段时间内的飞行状态,并根据周围环境信息和其他无人机的状态在线优化飞行轨迹。这种方法在动态环境中表现出色,能够有效避免碰撞。

6. 未来研究方向

6.1 多源信息融合

进一步研究多源信息融合技术,提高无人机对环境感知的准确性和实时性。通过融合激光雷达、毫米波雷达、视觉相机等多种传感器的数据,无人机能够更全面地了解周围环境信息。

6.2 动态威胁处理

针对动态威胁(如移动障碍物、其他飞行器等),研究更高效的动态威胁处理方法。通过实时监测和预测动态威胁的运动轨迹,无人机能够提前做出避障决策,确保飞行安全。

6.3 协同决策优化

进一步优化多无人机之间的协同决策机制,提高系统的整体性能和效率。通过引入更先进的协同控制算法和优化策略,无人机能够更好地协作完成任务。

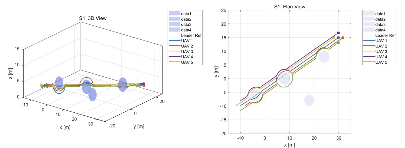
📚2 运行结果

image.gif 编辑

image.gif 编辑

image.gif 编辑

image.gif 编辑

🎉3 参考文献

文章中一些内容引自网络,会注明出处或引用为参考文献,难免有未尽之处,如有不妥,请随时联系删除。(文章内容仅供参考,具体效果以运行结果

相关文章
|
4天前
|
数据采集 人工智能 安全
|
14天前
|
云安全 监控 安全
|
5天前
|
自然语言处理 API
万相 Wan2.6 全新升级发布!人人都能当导演的时代来了
通义万相2.6全新升级,支持文生图、图生视频、文生视频,打造电影级创作体验。智能分镜、角色扮演、音画同步,让创意一键成片,大众也能轻松制作高质量短视频。
1148 152
|
19天前
|
机器学习/深度学习 人工智能 自然语言处理
Z-Image:冲击体验上限的下一代图像生成模型
通义实验室推出全新文生图模型Z-Image,以6B参数实现“快、稳、轻、准”突破。Turbo版本仅需8步亚秒级生成,支持16GB显存设备,中英双语理解与文字渲染尤为出色,真实感和美学表现媲美国际顶尖模型,被誉为“最值得关注的开源生图模型之一”。
1809 9
|
10天前
|
人工智能 自然语言处理 API
一句话生成拓扑图!AI+Draw.io 封神开源组合,工具让你的效率爆炸
一句话生成拓扑图!next-ai-draw-io 结合 AI 与 Draw.io,通过自然语言秒出架构图,支持私有部署、免费大模型接口,彻底解放生产力,绘图效率直接爆炸。
734 152
|
7天前
|
SQL 自然语言处理 调度
Agent Skills 的一次工程实践
**本文采用 Agent Skills 实现整体智能体**,开发框架采用 AgentScope,模型使用 **qwen3-max**。Agent Skills 是 Anthropic 新推出的一种有别于mcp server的一种开发方式,用于为 AI **引入可共享的专业技能**。经验封装到**可发现、可复用的能力单元**中,每个技能以文件夹形式存在,包含特定任务的指导性说明(SKILL.md 文件)、脚本代码和资源等 。大模型可以根据需要动态加载这些技能,从而扩展自身的功能。目前不少国内外的一些框架也开始支持此种的开发方式,详细介绍如下。
525 5
|
12天前
|
人工智能 安全 前端开发
AgentScope Java v1.0 发布,让 Java 开发者轻松构建企业级 Agentic 应用
AgentScope 重磅发布 Java 版本,拥抱企业开发主流技术栈。
676 14