Proximal SFT:用PPO强化学习机制优化SFT,让大模型训练更稳定

简介: 本文介绍了一种改进的监督微调方法——Proximal Supervised Fine-Tuning (PSFT),旨在解决传统SFT易过拟合、泛化能力差及导致“熵坍塌”的问题。受PPO强化学习算法启发,PSFT通过引入参数更新的稳定性机制,防止模型在训练中变得过于确定,从而提升探索能力与后续强化学习阶段的表现。实验表明,PSFT在数学推理、模型对齐及泛化能力方面均优于传统SFT。

监督微调(SFT)基本上是现在训练大模型时必走的路。不管你要让模型干什么,先用 SFT 让它学会基本的指令跟随和对话能力,然后再通过 PPO 或者 GRPO 这些强化学习方法进一步调优。

但 SFT 有个老毛病:容易过拟合。模型会死记硬背训练数据,泛化能力变差。更要命的是,经过 SFT 训练的模型在后续的强化学习阶段往往探索能力不足,这就是所谓的"熵坍塌"现象 - 模型变得过于确定,生成的内容单调乏味。

这篇论文提出了 Proximal Supervised Fine-Tuning (PSFT),本质上是把 PPO 的思路引入到 SFT 中。这个想法挺巧妙的:既然 PPO 能够稳定策略更新,那为什么不用类似的机制来稳定监督学习的参数更新呢?

SFT 到底在做什么

先说说传统的监督微调怎么回事。SFT 就是拿一堆(提示,回答)这样的数据对,让模型学会从提示生成对应的回答。

最小化模型预测的 token 分布和真实 token 之间的交叉熵损失。但问题在于,如果训练数据和预训练数据的分布差异比较大,每一步的参数更新可能都很激进,导致模型忘记之前学到的通用能力。

PPO vs. GRPO

这种激进更新还会引发熵坍塌。简单说就是模型在选择下一个 token 时变得过于自信,几乎没有不确定性。这样一来,模型生成的内容就会变得非常可预测,缺乏多样性。更糟的是这种低熵状态会让模型在后续的强化学习训练中失去探索新策略的能力。

从强化学习的角度看语言建模

要理解 PSFT,得先把语言生成过程理解成一个马尔可夫决策过程(MDP)。这听起来很抽象,但其实挺直观的:

在语言生成的 MDP 中,状态空间包含智能体可能处于的所有可能状态,动作空间包含智能体可以采取的所有可能动作或移动,转移概率

P(s'|s, a)

表示当智能体采取动作

a

时,从状态

s

移动到

s'

的可能性。

具体到语言模型:状态

s(t)

就是当前的上下文(输入 query 加上已经生成的所有 token),动作

a(t)

就是要生成的下一个 token,转移概率是确定性的(等于1),因为选定 token 后新状态就确定了。

大语言模型的输出分布

π(θ)

就是我们的策略。对于输入

x

,模型生成输出

y

的联合概率是:

给定查询 'x' 生成输出 'y' 的联合概率是在每个时间步 't' 给定其前置上下文 (y(<t), x) 下生成每个令牌 'y(t)' 的概率的乘积。

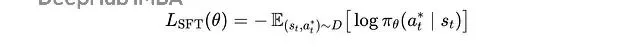
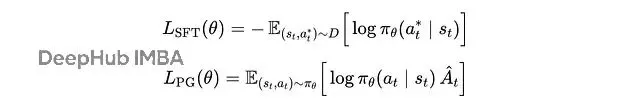
SFT 的损失函数就是标准的交叉熵:

每个提示-完成对 (x, y) 的 SFT 损失

这里

y(t)

是时间步

t

的生成令牌,

n

是生成令牌的总数,

y(<t), x

是每个时间步的上下文,

π(θ)

是参数为

θ

的大语言模型。

对整个训练集,SFT 损失可以写成:

训练期间使用梯度下降最小化的 SFT 损失

这里

s(t)

是时间步

t

的上下文,

a*(t)

表示正确的下一个令牌。

SFT 其实是策略梯度的特例

强化学习里有三大类算法:基于价值的方法(比如 Q-learning)、策略梯度方法(比如 REINFORCE)、还有混合方法(比如 Actor-Critic)。

策略梯度方法的目标函数是:

强化学习训练期间使用梯度上升最大化的策略梯度目标

这里

s(t), a(t)

是从当前策略采样的状态-动作对,

log π(θ)(a(t)|s(t))

是策略采取动作的对数概率,

Â(t)

是优势函数,告诉我们这个动作比平均水平好多少。

优势函数是在特定状态下采取动作的 Q 函数与给定状态的价值函数之间的差值。

如果

Â(t) > 0

,说明这个动作比预期好,训练会增加它的概率。

仔细看看,SFT 其实就是策略梯度的简化版本:

SFT 损失 vs. 策略梯度目标

区别在于:SFT 不是从策略采样轨迹,而是从固定数据集采样;SFT 把优势函数固定为 1,也就是假设数据集里的动作都是"好的"。

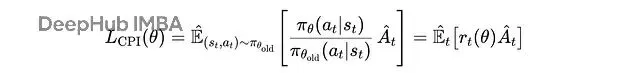
从 REINFORCE 到 PPO

传统的策略梯度方法比如 REINFORCE 有个问题:如果某一步更新太大,新策略可能偏离旧策略太远,导致训练不稳定。

TRPO(信任区域策略优化)通过引入 KL 散度约束来解决这个问题:

TRPO 的代理目标(保守策略迭代)目标,在强化学习训练期间使用梯度上升最大化,其中

r(t)(θ)

是重要性采样比率。

这里用重要性采样来修正新旧策略之间的差异,同时用 KL 散度约束来限制更新幅度:

在 TRPO 中,代理目标在使用新策略

π(θ)

和旧策略

π(θ)(old)

之间的 KL 散度对策略更新大小的约束下最大化。

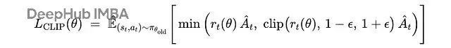
但 TRPO 计算量太大,不太实用。PPO 就简单多了,直接在目标函数里加个 clipping:

PPO 中最大化的裁剪代理目标,其中

r(t)(θ)

是重要性采样比率,ϵ 通常是一个小值(例如,0.2)。在 TRPO 和 PPO 中,优势

Â(t)

的近似值使用广义优势估计(GAE)计算。

PPO 通过裁剪重要性采样比率来防止策略更新过大,既简单又有效。

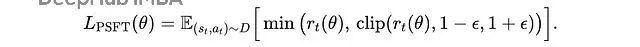
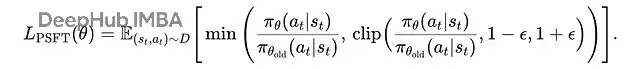
PSFT:给 SFT 加上 PPO 的稳定性

既然知道了 SFT 是策略梯度的特例,那我们能不能给它也加上 PPO 的稳定性机制?答案就是 PSFT。

PSFT 的目标函数是:

近似监督微调(PSFT)目标

展开重要性采样比率:

展开的近似监督微调(PSFT)目标

这个设计很巧妙:通过比较新旧策略的概率比值并进行裁剪,PSFT 能够防止模型参数更新过于激进。这样既能学习新任务,又能保持原有的通用能力,同时避免熵坍塌。

实验效果怎么样

研究者在 Qwen2.5-7B-Instruct 和 Llama3.1-8B-Instruct 上做了实验,主要看数学推理能力的提升。

首先是熵的变化。PSFT 能够维持更平滑的熵曲线,避免了传统 SFT 中的熵坍塌现象:

显示两个大语言模型在训练期间熵的图。SFT-KL 是一种应用 KL 惩罚以保持微调模型更接近预训练模型分布的方法。PSFT (warm-up) 是一种在切换到 PSFT 之前开始短暂的初始 SFT 阶段的方法,用于训练稳定性。

在域内数学任务上,PSFT 的表现至少和标准 SFT 持平,在某些情况下还更好:

显示域内性能训练动态的图

域内性能的结果,其中对于 AIME 和 AMC 基准,结果是 avg@32。对于其余的,结果是 avg@8。

更重要的是域外性能。PSFT 训练的模型在非数学任务上也表现很好,说明它确实提高了泛化能力:

显示域外性能训练动态的图

域外性能的结果。对于 GPQA、ARC-C、TruthfulQA 和 IFEval,结果是 avg@8。对于其余的,结果是 pass@1。

在后续的强化学习训练中,PSFT 训练的模型保持了更高的熵,说明探索能力得到了保留:

显示强化学习实验中域内性能训练动态的图

强化学习实验中域内性能的结果

强化学习实验中域外性能的结果

PSFT 的优势不只体现在数学推理上,在模型对齐方面也有帮助。用 DPO 进行对齐训练时,PSFT 预训练的模型表现更稳定:

显示 SFT/PSFT 后跟 DPO 的对齐训练期间熵演变的图

在各种对齐基准上,PSFT 都比传统 SFT 表现更好:

在不同对齐基准上对 Qwen3–4B-Base 进行 DPO 训练的结果。PSFT(prolong) 是 PSFT 的扩展版本,继续训练更多步骤。

总结

PSFT 本质上是把强化学习中稳定策略更新的思想引入到监督学习中。通过借鉴 PPO 的裁剪机制,PSFT 能够:

  1. 防止模型参数更新过于激进
  2. 保持模型的通用能力和探索性
  3. 避免熵坍塌现象
  4. 为后续的强化学习训练打下更好的基础

这个工作挺有意思的,它展示了监督学习和强化学习之间深层的联系。更重要的是,它提供了一个简单有效的方法来改善现有的训练流程。如果你正在做大模型的训练工作,PSFT 绝对值得试试。

https://avoid.overfit.cn/post/e933ddbf941a4530b7bf09782c70bbea

作者:Dr. Ashish Bamania

目录
相关文章
|
6月前
|
机器学习/深度学习 缓存 监控
大模型推理优化技术:KV缓存机制详解
本文深入探讨了大语言模型推理过程中的关键技术——KV缓存(Key-Value Cache)机制。通过对Transformer自注意力机制的分析,阐述了KV缓存的工作原理、实现方式及其对推理性能的显著优化效果。文章包含具体的代码实现和性能对比数据,为开发者理解和应用这一关键技术提供实践指导。
1913 8
|
6月前
|
存储 人工智能 NoSQL
AI大模型应用实践 八:如何通过RAG数据库实现大模型的私有化定制与优化
RAG技术通过融合外部知识库与大模型,实现知识动态更新与私有化定制,解决大模型知识固化、幻觉及数据安全难题。本文详解RAG原理、数据库选型(向量库、图库、知识图谱、混合架构)及应用场景,助力企业高效构建安全、可解释的智能系统。
|
8月前
|
并行计算 PyTorch 调度
大模型推理显存优化系列(4):eLLM-大模型推理中的弹性显存管理和优化
本文简要介绍eLLM相关技术挑战、总体设计和初步性能评估
|
8月前
|
负载均衡 并行计算 异构计算
大模型训练推理优化(5): FlexLink —— NVLink 带宽无损提升27%
本期我们将介绍蚂蚁集团ASystem团队在大模型通信优化上的新工作FlexLink,旨在通过动态聚合多路通信(NVLink,PCIe,RDMA),在H800等典型硬件上将典型通信算子如(AllReduce, All Gather)吞吐提升最高达27%,尤其适合大模型长序列推理(Prefill阶段),及训练等通信密集的带宽bound场景。方案对精度无影响。
|
9月前
|
人工智能 自然语言处理 开发工具
统一多模态 Transformer 架构在跨模态表示学习中的应用与优化
本文介绍统一多模态 Transformer(UMT)在跨模态表示学习中的应用与优化,涵盖模型架构、实现细节与实验效果,探讨其在图文检索、图像生成等任务中的卓越性能。
统一多模态 Transformer 架构在跨模态表示学习中的应用与优化
|
8月前
|
机器学习/深度学习 人工智能 算法
GSPO:Qwen让大模型强化学习训练告别崩溃,解决序列级强化学习中的稳定性问题
这是7月份的一篇论文,Qwen团队提出的群组序列策略优化算法及其在大规模语言模型强化学习训练中的技术突破
1708 0
GSPO:Qwen让大模型强化学习训练告别崩溃,解决序列级强化学习中的稳定性问题
|
9月前
|
机器学习/深度学习 人工智能 测试技术
【ICML2025】大模型后训练性能4倍提升!阿里云PAI团队研究成果ChunkFlow中选
近日,阿里云 PAI 团队、通义实验室与中国科学院大学前沿交叉科学学院合作在机器学习顶级会议 ICML 2025 上发表论文 Efficient Long Context Fine-tuning with Chunk Flow。ChunkFlow 作为阿里云在变长和超长序列数据集上高效训练解决方案,针对处理变长和超长序列数据的性能问题,提出了以 Chunk 为中心的训练机制,支撑 Qwen 全系列模型的长序列续训练和微调任务,在阿里云内部的大量的业务上带来2倍以上的端到端性能收益,大大降低了训练消耗的 GPU 卡时。
|
7月前
|
机器学习/深度学习 算法 数据可视化
从零开始训练推理模型:GRPO+Unsloth改造Qwen实战指南
推理型大语言模型兴起,通过先思考再作答提升性能。本文介绍GRPO等强化学习算法,详解其原理并动手用Qwen2.5-3B训练推理模型,展示训练前后效果对比,揭示思维链生成的实现路径。
968 2
从零开始训练推理模型:GRPO+Unsloth改造Qwen实战指南
|
6月前
|
监控 算法 测试技术
大模型推理服务优化:动态批处理与连续批处理技术
本文系统阐述大语言模型推理服务中的关键技术——动态批处理与连续批处理。通过分析传统静态批处理的局限性,深入解析动态批处理的请求调度算法、内存管理策略,以及连续批处理的中断恢复机制。文章包含完整的服务架构设计、核心算法实现和性能基准测试,为构建高性能大模型推理服务提供全面解决方案。
785 3