【IMU Kalman滤波器】9轴IMU传感器(加速度计、陀螺仪、磁力计)的卡尔曼滤波器算法研究(Matlab代码实现)

简介: 【IMU Kalman滤波器】9轴IMU传感器(加速度计、陀螺仪、磁力计)的卡尔曼滤波器算法研究(Matlab代码实现)

💥💥💞💞欢迎来到本博客❤️❤️💥💥

🏆博主优势:🌞🌞🌞博客内容尽量做到思维缜密,逻辑清晰,为了方便读者。

⛳️座右铭:行百里者,半于九十。

⛳️赠与读者

👨‍💻做科研,涉及到一个深在的思想系统,需要科研者逻辑缜密,踏实认真,但是不能只是努力,很多时候借力比努力更重要,然后还要有仰望星空的创新点和启发点。当哲学课上老师问你什么是科学,什么是电的时候,不要觉得这些问题搞笑。哲学是科学之母,哲学就是追究终极问题,寻找那些不言自明只有小孩子会问的但是你却回答不出来的问题。建议读者按目录次序逐一浏览,免得骤然跌入幽暗的迷宫找不到来时的路,它不足为你揭示全部问题的答案,但若能让人胸中升起一朵朵疑云,也未尝不会酿成晚霞斑斓的别一番景致,万一它居然给你带来了一场精神世界的苦雨,那就借机洗刷一下原来存放在那儿的“躺平”上的尘埃吧。

    或许,雨过云收,神驰的天地更清朗.......🔎🔎🔎

💥1 概述

9轴IMU传感器卡尔曼滤波器算法研究

一、9轴IMU传感器基础

  1. 传感器组成与原理 9轴IMU由加速度计(测量线性加速度)、陀螺仪(测量角速度)和磁力计(测量磁场方向)组成,提供三维空间中的运动与方向信息。
  • 加速度计通过惯性力检测加速度(牛顿第二定律),但易受高频噪声影响。
  • 陀螺仪基于科氏力测量角速度,但积分运算会导致低频漂移误差。
  • 磁力计通过霍尔效应检测地磁场方向,用于航向角(Yaw)校准,但对环境磁场干扰敏感。
  1. 技术规格示例
  • 加速度计:测量范围±16g,分辨率0.98mg/LSB@±16g,噪声密度160μg/√Hz。

    image.gif 编辑
  • 陀螺仪:量程±2000dps,分辨率0.0038°/s/LSB@±250dps,温度误差±0.005°/(s·°C)。

    image.gif 编辑
  • 磁力计:量程±4900μT,分辨率0.15μT/LSB,动态响应特性良好。

二、卡尔曼滤波基础

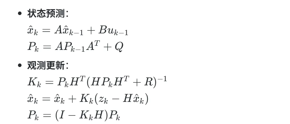
  1. 核心原理 卡尔曼滤波通过预测-校正框架实现最优状态估计:
  • 预测:基于系统模型和上一时刻状态估计当前状态。
  • 校正:结合传感器观测值更新状态,通过卡尔曼增益平衡模型预测与测量数据的置信度。

image.gif 编辑

2. 关键方程

  • image.gif 编辑
    其中,Q为过程噪声协方差,R为观测噪声协方差。

三、传感器噪声模型与误差特性

传感器 噪声类型 误差特性 解决方案
加速度计 高频噪声(毛刺) 瞬时值不精确,姿态震荡 低通滤波或滑动平均
陀螺仪 低频漂移 积分累积误差,长期姿态偏移 磁力计/加速度计校正
磁力计 环境磁场干扰 航向角偏移(硬铁/软铁误差) 动态校准算法

典型噪声参数

  • 加速度计RMS噪声:0.75–1 mg,偏置±20–40 mg。
  • 陀螺仪随机游走:4.712×10⁻⁶ rad/s²/√Hz。

image.gif 编辑

四、卡尔曼滤波器设计

  1. 状态方程设计
  • 状态向量 image.gif 编辑
  • 系统模型
    四元数动力学方程描述姿态变化,陀螺仪零偏建模为随机游走过程。
  1. 观测方程设计
  • 加速度计观测:重力方向与四元数预测姿态对比,用于俯仰角(Pitch)和横滚角(Roll)校正。
  • 磁力计观测:地磁场方向与预测航向角对比,用于Yaw角校正。
  1. 非线性处理
  • 扩展卡尔曼滤波(EKF) :对非线性模型进行一阶泰勒展开线性化。
  • 无迹卡尔曼滤波(UKF) :通过Sigma点传播避免线性化误差,适用于强非线性系统。

五、算法实现案例

  1. Matlab实现
  • 状态初始化:四元数初始化为单位四元数,零偏初始化为0。
  • 动态绘图:通过实时更新欧拉角(Pitch/Roll/Yaw)展示姿态变化。
  1. 嵌入式系统优化
  • MPU9250数据融合:采用互补滤波预降噪,再输入EKF进行姿态解算。
  • ROS节点封装:将滤波后的IMU数据与视觉/激光雷达融合,提升SLAM精度。

六、挑战与解决方案

挑战 解决方案
传感器时间同步 FPGA硬件级时间戳对齐,置信区间划分实现毫秒级同步
磁力计动态干扰 抗磁干扰算法(如A9模块的动态磁场初始化)
计算资源限制 固定点运算优化,状态向量降维(如分离姿态与零偏估计)
非线性姿态表示 四元数替代欧拉角,避免万向节锁问题
动态环境适应性 自适应噪声协方差调整(如根据加速度计方差动态调整RR)

七、结论

卡尔曼滤波器在9轴IMU中通过多传感器数据融合,有效解决了单一传感器的局限性:

  • 精度提升:静态精度可达0.1°,动态精度0.5°(A9模块)。
  • 实时性:支持1125Hz数据率(ICM20948),满足无人机/机器人实时控制需求。
  • 扩展性:与视觉/GNSS融合可构建更高精度的导航系统。

未来方向包括:基于深度学习的噪声建模、低功耗嵌入式优化,以及多模态传感器融合框架的标准化。

📚2 运行结果

image.gif 编辑

image.gif 编辑

image.gif 编辑

image.gif 编辑

image.gif 编辑

image.gif 编辑

部分代码:

figure()

P1=plot(DATA_SI(10,:), PhiSaved, 'r');

hold on

P2=plot(DATA_SI(10,:), ThetaSaved, 'b');

P3=plot(DATA_SI(10,:), PsiSaved, 'g');

refline([0 0])

title('Euler Angle (degree)')

Timeline_1 = line('XData',x,'YData',y);

TimeValue_1= xlabel('');

legend([P1 P2 P3],{'Phi', 'Theta', 'Psi'},'Location','northwest','AutoUpdate','off');

axis([0 DATA_SI(10,Nsamples) -300 300])

figure()

subplot(1,3,1)

plot(DATA_SI(10,:),DATA_SI(1,:),'r',DATA_SI(10,:),DATA_SI(2,:),'g',DATA_SI(10,:),DATA_SI(3,:),'b');

refline([0 0])

title('Acceleration (m/s^2)');

Timeline_2 = line('XData',x,'YData',y);

TimeValue_2= xlabel('');

legend({'AccX', 'AccY', 'AccZ'},'Location','northwest','AutoUpdate','off');

axis([0 DATA_SI(10,Nsamples) -20 20])

subplot(1,3,2)

plot(DATA_SI(10,:),DATA_SI(4,:),'r',DATA_SI(10,:),DATA_SI(5,:),'g',DATA_SI(10,:),DATA_SI(6,:),'b');

refline([0 0])

title('Angular velocity (rad/s)')

Timeline_3 = line('XData',x,'YData',y);

TimeValue_3= xlabel('');

legend({'GyroX', 'GyroY', 'GyroZ'},'Location','northwest','AutoUpdate','off');

axis([0 DATA_SI(10,Nsamples) -3 3])

subplot(1,3,3)

plot(DATA_SI(10,:),DATA_SI(7,:),'r',DATA_SI(10,:),DATA_SI(8,:),'g',DATA_SI(10,:),DATA_SI(9,:),'b');

refline([0 0])

title('Magnetic flux density (uT)')

Timeline_4 = line('XData',x,'YData',y);

TimeValue_4= xlabel('');

legend({'MagX', 'MagY', 'MagZ'},'Location','northwest','AutoUpdate','off');

axis([0 DATA_SI(10,Nsamples) -40 40])

%% Graphical Plot & Dynamic Plot

%set IMU Object's vertex

Cuboid_1=[-2,-3,-0.5];

Cuboid_2=[2,-3,-0.5];

Cuboid_3=[2,3,-0.5];

Cuboid_4=[-2,3,-0.5];

Cuboid_5=[-2,-3,0.5];

Cuboid_6=[2,-3,0.5];

Cuboid_7=[2,3,0.5];

Cuboid_8=[-2,3,0.5];

Cuboid=[Cuboid_1; Cuboid_2; Cuboid_3; Cuboid_4; Cuboid_5; Cuboid_6; Cuboid_7; Cuboid_8];

% ?

fac = [1 2 6 5;2 3 7 6;3 4 8 7;4 1 5 8;1 2 3 4;5 6 7 8];

%Plot Object

figure()

view(3)

Obejct_IMU = patch('Faces', fac, 'Vertices', [0, 0, 0]);

Obejct_IMU.FaceColor = 'g';

axis([-5 5 -5 5 -5 5])

title('IMU state')

Realtime = xlabel(' ');

%Animate

for k=1:Nsamples-1

   %Rotation matrix for vertex

   Rz = [cosd(PsiSaved(k)) -sind(PsiSaved(k)) 0; sind(PsiSaved(k)) cosd(PsiSaved(k)) 0; 0 0 1];

   Ry = [cosd(ThetaSaved(k)) 0 sind(ThetaSaved(k)); 0 1 0; -sind(ThetaSaved(k)) 0 cosd(ThetaSaved(k))];

   Rx = [1 0 0; 0 cosd(PhiSaved(k)) -sind(PhiSaved(k)); 0 sind(PhiSaved(k)) cosd(PhiSaved(k))];

   dt=(DATA_SI(10,k+1)-DATA_SI(10,k));

for j=1:8

🎉3 参考文献

文章中一些内容引自网络,会注明出处或引用为参考文献,难免有未尽之处,如有不妥,请随时联系删除。

[1]王晓初,李宾,刘玉县,等.一种基于改进卡尔曼滤波的姿态解算算法[J].科学技术与工程, 2019, 19(24):7.DOI:CNKI:SUN:KXJS.0.2019-24-071.

[2]蔡阳,胡杰.基于卡尔曼滤波和互补滤波的AHRS系统研究[J].电脑知识与技术:学术版, 2021.

[3]陆永杰.基于资料获取,更多粉丝福利,MATLAB|Simulink|Python资源获取【请看主页然后私信】

相关文章
|
2月前
|
机器学习/深度学习 算法 机器人
【水下图像增强融合算法】基于融合的水下图像与视频增强研究(Matlab代码实现)
【水下图像增强融合算法】基于融合的水下图像与视频增强研究(Matlab代码实现)
276 0
|
2月前
|
算法 定位技术 计算机视觉
【水下图像增强】基于波长补偿与去雾的水下图像增强研究(Matlab代码实现)
【水下图像增强】基于波长补偿与去雾的水下图像增强研究(Matlab代码实现)
132 0
|
2月前
|
算法 机器人 计算机视觉
【图像处理】水下图像增强的颜色平衡与融合技术研究(Matlab代码实现)
【图像处理】水下图像增强的颜色平衡与融合技术研究(Matlab代码实现)
118 0
|
2月前
|
机器学习/深度学习 算法 机器人
使用哈里斯角Harris和SIFT算法来实现局部特征匹配(Matlab代码实现)
使用哈里斯角Harris和SIFT算法来实现局部特征匹配(Matlab代码实现)
179 8
|
2月前
|
机器学习/深度学习 编解码 算法
基于OFDM技术的水下声学通信多径信道图像传输研究(Matlab代码实现)
基于OFDM技术的水下声学通信多径信道图像传输研究(Matlab代码实现)
173 8
|
2月前
|
机器学习/深度学习 数据采集 测试技术
基于CEEMDAN-VMD-BiLSTM的多变量输入单步时序预测研究(Matlab代码实现)
基于CEEMDAN-VMD-BiLSTM的多变量输入单步时序预测研究(Matlab代码实现)
|
2月前
|
机器学习/深度学习 算法 自动驾驶
基于导向滤波的暗通道去雾算法在灰度与彩色图像可见度复原中的研究(Matlab代码实现)
基于导向滤波的暗通道去雾算法在灰度与彩色图像可见度复原中的研究(Matlab代码实现)
189 8
|
2月前
|
机器学习/深度学习 供应链 算法
【电动车】基于削峰填谷的电动汽车多目标优化调度策略研究(Matlab代码实现)
【电动车】基于削峰填谷的电动汽车多目标优化调度策略研究(Matlab代码实现)
122 0
|
2月前
|
传感器 机器学习/深度学习 算法
【无人机协同】动态环境下多无人机系统的协同路径规划与防撞研究(Matlab代码实现)
【无人机协同】动态环境下多无人机系统的协同路径规划与防撞研究(Matlab代码实现)
205 0
|
2月前
|
机器学习/深度学习 数据采集 负载均衡
结合多种启发式解码方法的混合多目标进化算法,用于解决带工人约束的混合流水车间调度问题(Matlab代码实现)
结合多种启发式解码方法的混合多目标进化算法,用于解决带工人约束的混合流水车间调度问题(Matlab代码实现)
168 0

热门文章

最新文章