拿下30个第1名的腾讯混元翻译模型,开源!

简介: 腾讯混元又带来一个在国际机器翻译比赛拿下30个第1名的翻译模型Hunyuan-MT-7B,它总参数量仅7B,支持33个语种、5种民汉语言/方言互译,是一个能力全面的轻量级翻译模型。

 

腾讯混元又带来一个在国际机器翻译比赛拿下30个第1名的翻译模型Hunyuan-MT-7B,它总参数量仅7B,支持33个语种、5种民汉语言/方言互译,是一个能力全面的轻量级翻译模型。

 

image.gif 编辑

同时开源的还有一个翻译集成模型 Hunyuan-MT-Chimera-7B (奇美拉),是业界首个翻译集成模型,它能够根据原文和多个翻译模型给出的不同内容,再生成一个更优的翻译结果,不仅原生支持Hunyuan-MT-7B,也支持接入 deepseek 等模型,对于一些有专业翻译需求的用户和场景,可以提供更加准确的回复。

📎001.mp4

相比传统的机器翻译,基于大模型的翻译对于对话背景、上下文内容以及综合的翻译需求有更深度的了解,进而能够提供更加准确和“信达雅”的翻译,这也为翻译模型的落地应用打下了基础。我们看看Hunyuan-MT-7B翻译的几个实际例子,真正做到了又快又准。

首先是俚语翻译:

📎002.mp4

然后是古诗翻译:

📎003.mp4

还有带有缩写的社交对话翻译:

📎004.mp4

在8月底结束的国际计算语言学协会(ACL)WMT2025比赛中,腾讯混元Hunyuan-MT-7B(参赛名称:Shy-hunyuan-MT)拿下了全部 31个语种比赛中的30个第1名,处于绝对领先地位,这 31个语种除了中文、英语、日语等常见语种,也包含捷克语、马拉地语、爱沙尼亚语、冰岛语等小语种。

 

image.gif 编辑

图:在WMT2025官方提供的成绩报告中,腾讯混元“shy-hunyuan-MT”即Hunyuan-MT-7B模型拿下了全部31个语种比赛中30个第1名,以上是英语-简体中文翻译的得分情况。

WMT25竞赛对参赛模型的参数规模有明确限制,要求系统满足开源要求,并且只能使用公开数据进行训练,在这样的环境下,Hunyuan-MT-7B击败了众多参数更大的模型。

 

image.gif 编辑

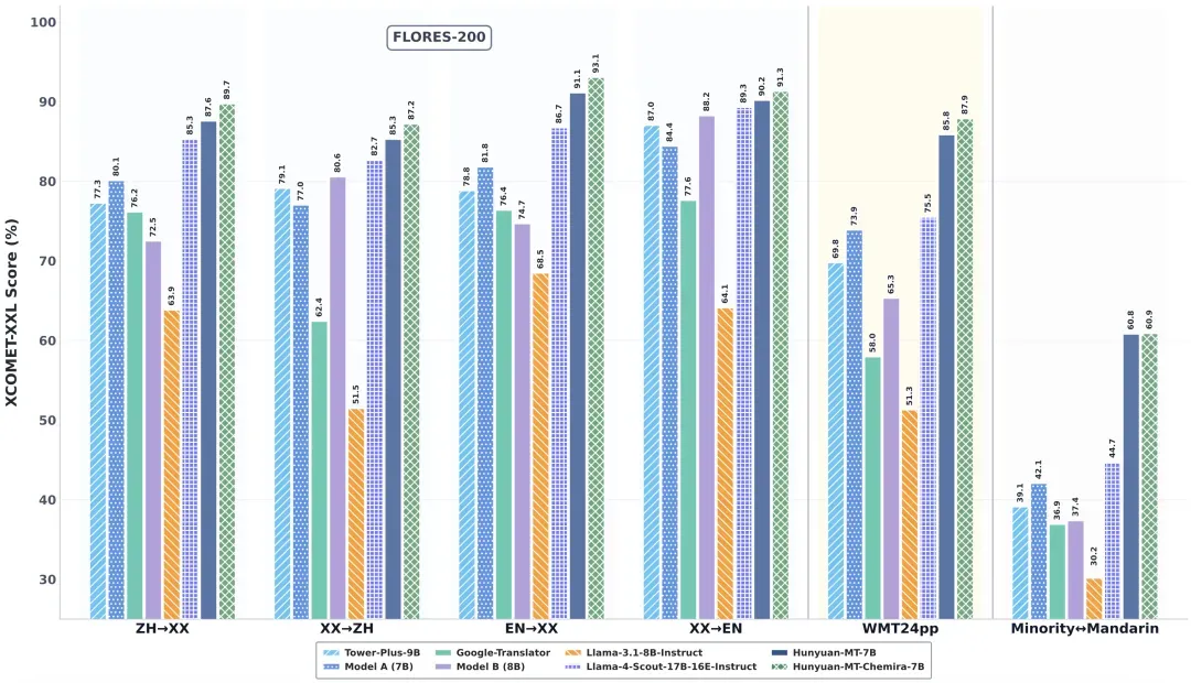
图:同尺寸模型下,Hunyuan-MT-7B效果领先于业界顶尖模型

 

image.gif 编辑

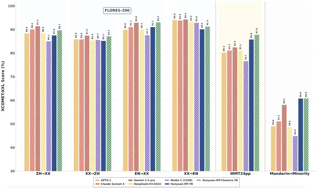
图:Hunyuan-MT-7B效果与超大尺寸模型效果对比也不逊色

在业界常用的翻译能力测评数据集 Flores200上,腾讯混元Hunyuan-MT-7B模型也有卓越的效果表现,明显领先于同尺寸模型,与超大尺寸模型效果对比也不逊色。

取得全面领先的成绩,离不开技术上的全面突破,针对翻译场景,腾讯混元提出了一个完整的翻译模型训练范式,覆盖从预训练、到CPT再到监督调参、翻译强化和集成强化全链条,使得模型的翻译效果达到业界最优。

 

image.gif 编辑

Hunyuan-MT-7B的特点在于仅用少量的参数,就达到甚至超过了更大规模模型的效果,这也为模型的应用带来了众多优势。

首先是计算效率,7B模型的推理速度明显快于大型模型,在相同硬件条件下能够处理更多的翻译请求,并且,基于腾讯自研的AngelSlim大模型压缩工具对Hunyuan-MT-7B进行FP8量化压缩,推理性能进一步提升30%。

其次是部署友好性,Hunyuan-MT-7B能够在更多样化的硬件环境中部署,从高端服务器到边缘设备都能良好运行,并且模型的部署成本、运行成本和维护成本都相对更低,在保证翻译质量的前提下,为企业和开发者提供了更具吸引力的解决方案。

目前,腾讯混元翻译模型已经接入腾讯多个业务,包括腾讯会议、企业微信、QQ浏览器、翻译君翻译、腾讯海外客服翻译等,助力产品体验提升。

自2023年亮相以来,腾讯混元积极拥抱开源,通过开放自研技术,推动大模型技术的共享和突破,在推出翻译模型之前,已经陆续开源了业界领先的文生文、文生图、视频生成和3D生成能力和相关工具集插件,提供商业模型性能的模型服务,相关模型多次登顶开源社区热度榜榜首。未来,腾讯混元还将开放更多模型和技术,和社区携手,共建开放大模型生态。

Hunyuan-MT-7B 模型已在腾讯混元官网上线体验入口,并在Huggingface、ModelScope和Github等开源社区提供下载,对应的技术报告和论文也已经在开源社区公开,欢迎体验和下载。

目录
相关文章
|
2月前
|
编解码 调度 图形学
腾讯混元世界模型1.1开源:支持多视图及视频输入,单卡部署,秒级生成_魔搭ModelScope社区-ModelScope魔搭社区
混元世界模型1.1(WorldMirror)发布,支持多视图、视频输入,单卡秒级生成3D场景。兼容CG管线,开源可部署,实现点云、深度、相机等多任务统一预测,性能领先。
308 1
|
3月前
|
人工智能 并行计算 语音技术
魔搭社区模型速递(8.23-8.30)
🙋魔搭ModelScope本期社区进展:📟4924个模型,📁357个数据集,🎨99个创新应用,📄 9篇内容:
431 3
|
3月前
|
机器学习/深度学习 人工智能 自然语言处理
B站开源IndexTTS2,用极致表现力颠覆听觉体验
在语音合成技术不断演进的背景下,早期版本的IndexTTS虽然在多场景应用中展现出良好的表现,但在情感表达的细腻度与时长控制的精准性方面仍存在提升空间。为了解决这些问题,并进一步推动零样本语音合成在实际场景中的落地能力,B站语音团队对模型架构与训练策略进行了深度优化,推出了全新一代语音合成模型——IndexTTS2 。
2086 62
|
3月前
|
编解码 文字识别 自然语言处理
腾讯混元生图模型升级2.1版本:支持写字、2k分辨率,开源!
腾讯混元生图模型升级2.1版本:支持写字、2k分辨率,开源!
353 14
|
3月前
|
存储 人工智能 文字识别
PDF解析迎来技术革新!阿里新产品实现复杂文档端到端结构化处理
前言9月24日云栖大会现场,由阿里巴巴爱橙科技数据技术及产品团队自主研发的 PDF解析神器正式亮相并同步开源模型。这款基于Logics-Parsing模型构建的AI工具直指当前PDF解析领域的技术痛点,显著提升复杂文档的结构…
573 0
PDF解析迎来技术革新!阿里新产品实现复杂文档端到端结构化处理
|
4月前
|
JSON 人工智能 Java
基于Spring AI构建智能Text-to-SQL转换器:一个完整的MCP
Spring AI 更新结构化输出转换器,弃用旧版 Parser 类,引入与 Spring 框架对齐的 Converter 体系,提升命名规范与功能兼容性。新版本支持 JSON、XML 及 Java 对象转换,确保 LLM 输出结构化,便于下游应用处理。
|
3月前
|
分布式计算 测试技术 Spark
科大讯飞开源星火化学大模型、文生音效模型
近期,科大讯飞在魔搭社区(ModelScope)和Gitcode上开源两款模型:讯飞星火化学大模型Spark Chemistry-X1-13B、讯飞文生音频模型AudioFly,助力前沿化学技术研究,以及声音生成技术和应用的探索。
326 2
|
3月前
|
机器学习/深度学习 并行计算 小程序
DeepSeek-V3.2-Exp 发布,训练推理提效,API 同步降价
今天,我们正式发布 DeepSeek-V3.2-Exp 模型,这是一个实验性( Experimental)的版本。作为迈向新一代架构的中间步骤,V3.2-Exp 在 V3.1-Terminus 的基础上引入了 DeepSeek Sparse Attention(一种稀疏注意力机制…
630 0
DeepSeek-V3.2-Exp 发布,训练推理提效,API 同步降价
|
3月前
|
人工智能 开发者 异构计算
魔搭勋章权益全面升级,免费工位+魔搭周边+GPU时长…统统安排!
亲爱的搭搭搭塔子们~(不是)你听说了吗?现在魔搭社区要给每一位搭友发!福!利!
127 1
|
3月前
|
人工智能 编解码 自然语言处理
重磅更新!ModelScope FlowBench 支持视频生成 + 图像编辑,AI创作全面升级!
很高兴地向大家宣布,ModelScope FlowBench 客户端迎来重大功能升级! 本次更新不仅正式支持了视频节点功能,还新增了图像编辑与IC-Light智能打光等实用功能,同时对多个图像处理节点进行了深度优化和扩展。现在,您只需在 FlowBench 中轻松串联节点,即可使用 Wan2.1/Wan2.2、Qwen-Image-Edit、FLUX Kontext、IC-Light等强大模型,轻松实现创意内容的生成与编辑。 无论你是内容创作者、视觉设计师,还是AI技术爱好者,这次更新都将为你打开全新的创作边界。
627 14