esc使用体验心得

简介: 在我看来云服务器有以下优点:省力,不需要专门花时间去维护服务器的硬件,看服务器是否运行正常;稳定,这应该是最主要的有点;安全,做web开发最怕的当然是攻击,所以选择大厂的服务器,自然是最香的;省钱,这当然也是很重要的,尤其对于我们学生用户还是很友好的,爆赞!

大家好,我是来自长春建筑学院电气信息学院的大四学生,是自动化专业的。 作为一个学自动化的同学来说,对于万物上云并不陌生,只不过接触的很少。很早之前就听说过阿里云,在云计算这块做得相当好,却一直没有机会尝试。最近,我们老师在上网课的时候向我们推荐了“飞天加速计划·高校学生在家实践”活动的,因此我了解了这个平台,它给我提供了一个可以学习的大平台。我觉得这是个良好的平台,能够让我进行实践。飞天加速计划·高校学生在家实践”活动,帮助学生的学习,通过一定的练习,对于服务器就会有一定的了解,以前一直不知道服务器有什么用,现在知道了,帮助学习,搭建自己的网站博客等等。
阿里云很友好,领取之前还会有一个教程和简单的测试,以便更好的使用。昨天在阿里云体验了ecs的这个功能,我觉得很不错,于是就立即做了测试题,通过了就立马开通了一个服务器,想借着这个机会多学习一下操作,学习linux,用到了远程操作服务器,使用了xshell+xftp的远程连接,就可以实现在本地连接阿里云上的服务器,发送数据文件等。
总体而言,在这个过程中,我体验到了服务器的神奇,也学习到了许多相关的知识,也希望在接下去的时间中继续进行相关的知识学习。阿里云Esc服务器带给我来良好的使用体验,其中有着十分详细的教程和案列介绍,我所遇到的一些问题在教程中都能较快的找到并且解决。据我学习了解,之后在工作中也会大量使用服务器进行操作和运行,所以对于这方面知识的掌握对于我们应届生来说十分的重要,也希望能借助“飞天加速计划·高校学生在家实践”活动这个机会,进一步的深入学习和了解服务器。积累一些相关的知识和经验,能使得工作后比较的得心应手。

相关文章
|
存储 Java API
探讨Java中交换Map的Key和Value值的技术
探讨Java中交换Map的Key和Value值的技术
289 2
|
消息中间件 SQL 资源调度
实时计算 Flink版产品使用合集之 Flink on YARN 中使用滚动日志时配置不生效如何解决
实时计算Flink版作为一种强大的流处理和批处理统一的计算框架,广泛应用于各种需要实时数据处理和分析的场景。实时计算Flink版通常结合SQL接口、DataStream API、以及与上下游数据源和存储系统的丰富连接器,提供了一套全面的解决方案,以应对各种实时计算需求。其低延迟、高吞吐、容错性强的特点,使其成为众多企业和组织实时数据处理首选的技术平台。以下是实时计算Flink版的一些典型使用合集。
227 0
|
监控 搜索推荐 Linux
在Linux中,开源的优势是什么?
在Linux中,开源的优势是什么?
|
存储 Prometheus 监控
重磅!DIY的Prometheus主备方案,全网唯一。生产未上,测试先行。
重磅!DIY的Prometheus主备方案,全网唯一。生产未上,测试先行。
568 0
|
Kubernetes 容器
开发 k8s 管理平台 - k8sailor 02. 使用 cobra 初始化程序命令与参数
开发 k8s 管理平台 - k8sailor 02. 使用 cobra 初始化程序命令与参数
306 0
开发 k8s 管理平台 - k8sailor 02. 使用 cobra 初始化程序命令与参数
|
Linux 数据安全/隐私保护 iOS开发
巧妙利用Appuploader上架IPA方法详解
巧妙利用Appuploader上架IPA方法详解
巧妙利用Appuploader上架IPA方法详解
|
算法 数据挖掘 Python
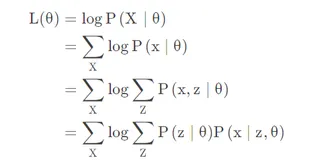
Machine Learning-L15-EM算法全解析(下)
Machine Learning-L15-EM算法全解析(下)
Machine Learning-L15-EM算法全解析(下)