2、 CSRCNN
随着SRCNN的发展,深度学习技术已被广泛应用于图像超分辨率任务。许多研究人员专注于优化和改进SRCNN的结构,实现了良好的处理速度和修复质量。然而,这些方法在训练过程中大多只考虑特定比例的图像,而忽视了不同比例图像之间的关系。基于这种考虑,本文提出了一个用于图像超分辨率的级联卷积神经网络(cascade convolution neural network,CSRCNN),它包括三个级联的快速SRCNN,每个快速SRCNN可以处理一个特定比例的图像。因此,不同比例的图像可以同时训练,所学的网络可以充分利用不同比例图像中的信息。
图2 CSRCNN网络结构。该网络由三个级联的FSRCNN组成,其中每个FSRCNN的放大系数为2。网络的输入大小为一个𝑊/8 ∗ 𝐻/8 LR图像,它被依次送入三个子FSRCNN中。每个子FSRCNN可以将输入图像的大小放大一倍。对于每个子网络,网络的输出图像将与相应的真实HR图像形成一个子损失函数,而这些子网络的子损失函数之和最终构成整个网络的损失函数
CSRCNN的网络结构由三个级联的FSRCNN组成,每个FSRCNN可以处理一个特定比例的图像。在每个子FSRCNN中,将其缩放系数设置为2,可以将输入图像的尺寸放大一倍。假设所有的图像都有相同的重量-高度比。𝑊和𝐻分别表示原始HR图像的重量和高度。𝑊/8 ∗ 𝐻/8, 𝑊/4 ∗ 𝐻/4 和 𝑊/2 ∗ 𝐻/2分别为输入到三个子网络的图像形状。用𝐼^𝑘来表示每个子FSRCNN的输入图像,其中𝑘=0,1,2代表每个子FSRCNN的ID和输入图像的比例指数。设定𝑟^𝑘代表LR图像与HR图像的比例,输入图像的大小𝐼^𝑘描述为𝑟𝑘𝑊 ∗ 𝑟𝐻。尺度比分别为r0=1/8,r1=1/4,r2=1/2,和r3=1。𝐼^(𝑘+1)=F_k(𝐼^𝑘 )是每个FSRCNN的输出图像,也就是每个子FSRCNN-k的修复HR图像。对于每个级联的FSRCNN,输出图像的大小是输入图像的两倍。
网络是由三个级联的FSRCNN组成。对于每个子网络,一方面,输出图像将进入下一个级联的子网络进行训练。另一方面,它将与相应的真实HR图像形成一个子损失函数。整个网络的损失函数是由三个子损失函数组成的。在论文实验中使用的𝐿0, 𝐿1, 𝐿2分别代表三个子网络的损失函数。整个网络的损失函数表示为:
对于每个子网络,损失函数计算如下:
在评估过程中,将根据LR图像与HR图像的比例,把LR图像分配到级联网络的不同阶段。当LR图像被分配到FSRCNN-k时,它将被调整为相应网络的输入形状𝑟𝑘𝑊 ∗ 𝑟𝑘𝐻。例如,对于一个给定的测试图像,放大系数为3倍,将调整图像的形状为𝑾/𝟐 ∗ 𝑯/𝟐 。调整后的图像将被编入FSRCNN2。在这里,每个子网络可以将输入图像的大小放大一倍。在评估结束时,所有图像都被放大到统一的HR图像。图3显示了该网络的整个评估过程。
图3 LR图像根据其分辨率比例被分配到级联的FSRCNN的不同阶段。在CSRCNN之后,所有LR图像被放大到统一的HR
当前SOTA!平台收录CSRCNN共1个模型实现。
| 项目 | SOTA!平台项目详情页 |
| CSRCNN | 前往 SOTA!模型平台获取实现资源:https://sota.jiqizhixin.com/project/csrcnn |
3、CSNLN
在单幅图像超分辨率SISR领域,使用大量的外部图像数据训练的模型可以学到有用的局部恢复信息,但近来探索图像内部的相似性也开始引起研究人员的兴趣,比如使用non-local 注意力模型利用低分辨率图像long-range相似性构建的超分辨率算法提高了SR的效果。本文提出了用于SISR任务的第一个跨尺度非局部(Cross-scale Non-local,CS-NL)注意力模块,计算图像内部的像素到块以及块到块的相似性,此外,还提出了一个强大的自样本挖掘模块(Self-Exemplars Mining,SEM)单元,在单元内部通过结合局部、尺度内非局部和跨尺度非局部特征的相关性,尽可能挖掘更多的的先验信息。
总的网络结构如图4所示,本质上是一个递归神经网络,每个递归单元为一个SEM,它完全融合了局部、尺度内非局部以及新提出的跨尺度非局部(CS-NL)信息。
图4 CS-NL注意力模块。底部的绿框是用于patch级的跨尺度相似性匹配。上面的分支显示了提取LR图像中的原始HR patch
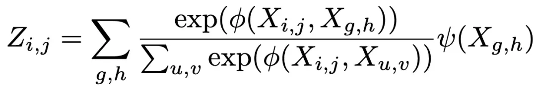
非局部注意力(Non-local Attention)可以通过总结整个图像的相关特征来探索self-exemplars。形式上,给定图像特征图X,非局部注意力定义为:
其中,z代表经过NL模块之后i,j位置的值,X_i,j表示输入特征图i,j位置的值,X_g,h表示输入特征图g,h位置的值,X_u,v表示任意位置的值,这个公式表示遍历整个特征图像每个像素点求得与X_i,j之间的关系,然后用得到的关系整除所有位置与X_i,j的关系,这样就得到了X_g,h所在位置对X_i,j影响权重的大小,再加入X_g,h位置向X_i,j位置的映射,最终将所有位置向X_i,j的映射进行加权求和得到i,j位置新的表示。
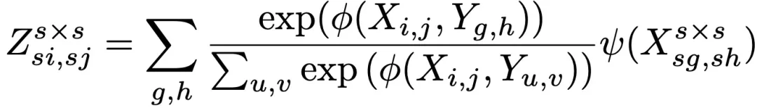
假设输入的特征图是X(W×H),为了计算pixel-patch的相似性,需要首先将X下采样为Y(Ws×Hs),并找到X和Y之间的像素相似性,最后用X中相应的s×s patch来SR X中的像素,因此输出Z为sW×sH。跨尺度注意力(Cross-scale attention)可由上式改写为:
进一步,作者通过经验总结,用另一种patch匹配的方法来实现CS-NL注意力:
Self-Exemplars Mining模块概述如图5所示:
图5 SEM单元。在SEM内部,它融合了从CS-NL注意力中学到的特征,以及从尺度内IS-NL和局部路径中学到的其他特征
Multi-Branch Exemplars
在SEM单元内,作者详尽地挖掘了所有可能的intrinsic priors,并接受了丰富的external image priors。具体来说,挖掘图像的自相似性,并使用多分支结构学习新信息,包括传统的局部(L)和尺度内非局部(ISNL)分支,以及新提出的CS-NL分支。
Mutual-Projected Fusion
虽然SEM中的三分支结构通过独立利用LR图像中的每个信息源产生了三个特征图,但如何将这些独立的张量融合成一个综合的特征图仍不清楚。本文提出了一种相互预测的融合方法,将特征逐步结合在一起。算法过程如图6所示。
图6 Mutual-projected fusion。下采样和上采样操作分别用跨尺度卷积和跨尺度反卷积来实现
为了让网络集中于信息量更大的特征,首先计算IS-NL F_I和CS-NL F_C分支的两个特征之间的残差 R_单层卷积后,将这些特征加回F_I中,得到F_IC:
采用back-projection方法,结合局部信息对特征进行规范化处理,纠正重建误差。最终融合特征H的计算方法是:
网络通过递归的使用SEM将图像的特征信息挖掘出来,输出到最终的拼接阶段,通过卷积最终生成高质量SR图像。CS-NL模型利用了不同尺度之间特征的相关性,通过CS-NL将图像的细节变得更丰富,单个像素表征的信息变成了多个点进行信息表征,进一步缓解了卷积过程中信息的融合。
当前SOTA!平台收录CSNLN共2个模型实现。
| 项目 | SOTA!平台项目详情页 |
| CSNLN | 前往 SOTA!模型平台获取实现资源:https://sota.jiqizhixin.com/project/csnln |












