1.算法描述
深度学习(DL, Deep Learning)是机器学习(ML, Machine Learning)领域中一个新的研究方向,它被引入机器学习使其更接近于最初的目标——人工智能(AI, Artificial Intelligence)。深度学习是学习样本数据的内在规律和表示层次,这些学习过程中获得的信息对诸如文字,图像和声音等数据的解释有很大的帮助。它的最终目标是让机器能够像人一样具有分析学习能力,能够识别文字、图像和声音等数据。 深度学习是一个复杂的机器学习算法,在语音和图像识别方面取得的效果,远远超过先前相关技术。深度学习在搜索技术,数据挖掘,机器学习,机器翻译,自然语言处理,多媒体学习,语音,推荐和个性化技术,以及其他相关领域都取得了很多成果。深度学习使机器模仿视听和思考等人类的活动,解决了很多复杂的模式识别难题,使得人工智能相关技术取得了很大进步。
深度学习是一类模式分析方法的统称,就具体研究内容而言,主要涉及三类方法:
(1)基于卷积运算的神经网络系统,即卷积神经网络(CNN)。
(2)基于多层神经元的自编码神经网络,包括自编码( Auto encoder)以及近年来受到广泛关注的稀疏编码两类( Sparse Coding)。
(3)以多层自编码神经网络的方式进行预训练,进而结合鉴别信息进一步优化神经网络权值的深度置信网络(DBN)。
通过多层处理,逐渐将初始的“低层”特征表示转化为“高层”特征表示后,用“简单模型”即可完成复杂的分类等学习任务。由此可将深度学习理解为进行“特征学习”(feature learning)或“表示学习”(representation learning)。
以往在机器学习用于现实任务时,描述样本的特征通常需由人类专家来设计,这成为“特征工程”(feature engineering)。众所周知,特征的好坏对泛化性能有至关重要的影响,人类专家设计出好特征也并非易事;特征学习(表征学习)则通过机器学习技术自身来产生好特征,这使机器学习向“全自动数据分析”又前进了一步。
近年来,研究人员也逐渐将这几类方法结合起来,如对原本是以有监督学习为基础的卷积神经网络结合自编码神经网络进行无监督的预训练,进而利用鉴别信息微调网络参数形成的卷积深度置信网络。与传统的学习方法相比,深度学习方法预设了更多的模型参数,因此模型训练难度更大,根据统计学习的一般规律知道,模型参数越多,需要参与训练的数据量也越大。

在无监督预训练出现之前,训练深度神经网络通常非常困难,而其中一个特例是卷积神经网络。卷积神经网络受视觉系统的结构启发而产生。第一个卷积神经网络计算模型是在Fukushima(D的神经认知机中提出的,基于神经元之间的局部连接和分层组织图像转换,将有相同参数的神经元应用于前一层神经网络的不同位置,得到一种平移不变神经网络结构形式。后来,Le Cun等人在该思想的基础上,用误差梯度设计并训练卷积神经网络,在一些模式识别任务上得到优越的性能。至今,基于卷积神经网络的模式识别系统是最好的实现系统之一,尤其在手写体字符识别任务上表现出非凡的性能。
————————————————
MNIST是在机器学习领域中的一个经典问题。该问题解决的是把28x28像素的灰度手写数字图片识别为相应的数字,其中数字的范围从0到9.下载后得到四个文件:
train-images-idx3-ubyte.gz,训练集,共 60,000 幅(28*28)的图像数据;
train-labels-idx1-ubyte.gz,训练集的标签信息(取值为 0-9),60,000*1
t10k-images-idx3-ubyte.gz,测试集(t: test, 10k: 10,000),共 10,000 副(28*28)的图像数据
t10k-labels-idx1-ubyte.gz,测试集的标签呢信息(取值为 0-9),10,000*1
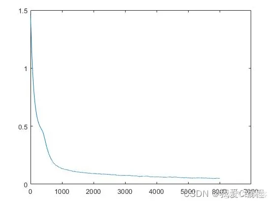
2.仿真效果预览
matlab2022a仿真结果如下:

3.MATLAB核心程序
%该模型采用的数据为mnist_uint8.mat,?
%含有70000个手写数字样本其中60000作为训练样本,10000作为测试样本。?把数据转成相应的格式,并归一化。
train_x = double(reshape(train_x',28,28,60000))/255;
test_x = double(reshape(test_x',28,28,10000))/255;
train_y = double(train_y');
test_y = double(test_y');
%% ex1 Train a 6c-2s-12c-2s Convolutional neural network
%will run 1 epoch in about 200 second and get around 11% error.
%With 100 epochs you'll get around 1.2% error
%设置网络结构及训练参数
rand('state',0)
cnn.layers = {
struct('type', 'i') %input layer
struct('type', 'c', 'outputmaps', 6, 'kernelsize', 5) %convolution layer
struct('type', 's', 'scale', 2) %sub sampling layer
struct('type', 'c', 'outputmaps', 12, 'kernelsize', 5) %convolution layer
struct('type', 's', 'scale', 2) %subsampling layer
};
%训练选项,alpha学习率(不用),batchsize批训练中样本的数量,numepochs迭代次数。
opts.alpha = 1;
opts.batchsize = 50;
opts.numepochs = 5;
%初始化网络,对数据进行批训练,验证模型准确率
cnn = cnnsetup(cnn, train_x, train_y);
cnn = cnntrain(cnn, train_x, train_y, opts);
[er, bad] = cnntest(cnn, test_x, test_y)
1-er