第四章重点
着重介绍微分方程、传递函数和结构图等基本的数学模型,最后简要介绍系统辨识的概念、系统最小二乘参数估计方法和系统的结构辨识方法。
1、系统数学模型的概念
自控理论方法是先将系统抽象完数学模型,然后用数学的方法处理。
控制系统的数学模型是描述系统内部各物理量(或变量)之间关系的数学表达式或图形表达式或数字表达式。
2、微分方程模型
描述系统输出变量和输入变量之间动态关系的微分方程称为微分方程模型。
系统微分方程的一般步骤:
1、确定系统的输入、输出变量;
2、从输入端开始,按照信号的传递顺序,依据各变量所遵循的物理、化学等定律,列写各变量之间的动态方程,一般为微分方程组;
3、消去中间变量,得到输入、输出变量的微分方程;
4、标准化:将与输入有关的各项放在等号右边,与输出有关的各项放在等号左边,并且分别按降幂排列,最后将系数归化为反映系统动态特性的参数,如时间常数等。
一阶RC网络系统
3、拉普拉斯变换
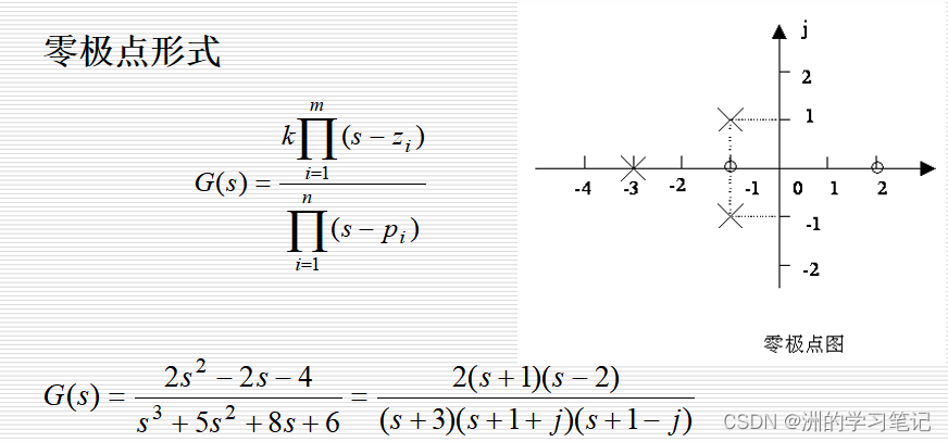
4、传递函数
在零初始条件下,线性定常系统(环节)输出的拉氏变换与输入的拉氏变换之比,称为该系统(环节)的传递函数。
5、结构图
结构图四个基本元素:
1、信号线:带有箭头的直线,表示信号的传递方向。
2、引出点(测量点):引出或者测量信号的位置。这里的信号引出与测量信号一样,不影响原信号,所以也称为测量点。就是直接十字路口的概念类似。
3、比较点(综合点):就是下图中的圆形,对两个或者两个以上的信号进行代数运算。
4、方块:表示对输入信号进行的数学变换。 对于线性定常系统或元件,通常在方框中写入其传递函数。
6.结构图变换法则原理
比较点前后移动的意思就是 需要完成最终情况一致即可。
7.反馈控制系统的传递函数
6、系统辨识的定义与内容
建模的两大方法:分析法和实验法。
分析法建模是应用各种科学定律,根据系统中各个变量之间的因果关系,推导系统的数学模型。
系统辨识是在输入和输出信息的基础上,从一类系统中确定一个与所观测系统等价的系统。系统辨识是按照一个等价准则,在模型类中选择一个与输入、输出数据拟合得最好的模型。
系统辨识定义包括三个要素:输入输出数据,模型类,等价准则。
黑箱问题:完全辨识问题:被辨识对象的基本特性是完全未知的。
灰箱问题:叫不完全辨识问题:在辨识前已知道系统的一些基本特征。
许多工程上的辨识问题属于灰箱问题,系统辨识内容就简化成阶的辨识和参数估计问题了。
系统辨识基本内容:
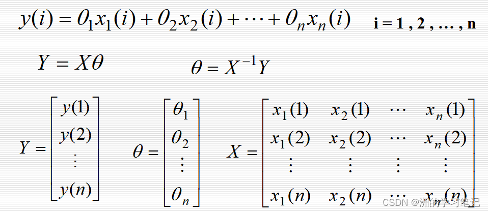
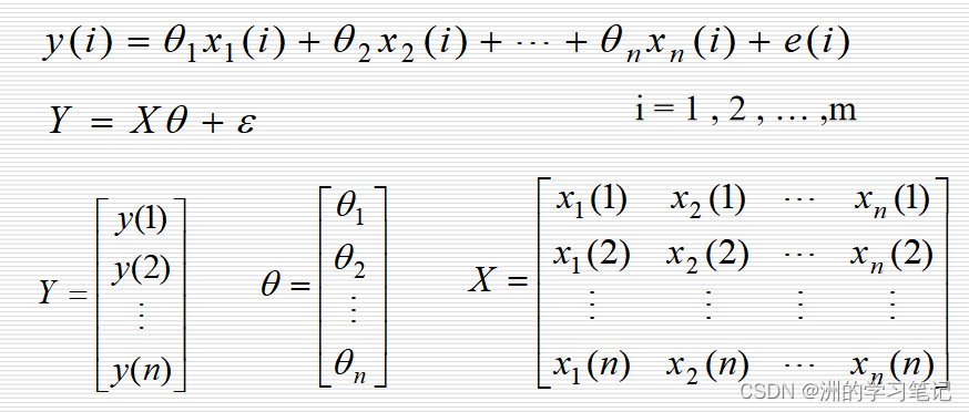
8、线性静态模型的 最小二乘参数估计
参数估计问题
设对输入、输出进行m次观测得到的数据为{ x1( i ),x2(i),…, xn( i ),y ( i ) },i = 1 , 2 , … , m。现在的问题是:怎样根据这些观测数据估计系统的参数θ1,θ2…。
如果模型准确且数据也准确:
如果模型不准确,且数据也有一定的误差:
最小二乘法应用举例























