开发者学堂课程【机器学习算法 :回归模型参数估计-4】学习笔记,与课程紧密联系,让用户快速学习知识。
课程地址:https://developer.aliyun.com/learning/course/535/detail/7192
回归模型参数估计-4
一、 参数估计:最大似然估计*
接着学习最大似然估计的数学推导,这里标记了*号。如果学起来吃力,可以先跳过,虽然很重要,但是不太关键。
总体 X 为连续型分布,其分布密度族为 {f(x,θ),θε0},假设总体 X 的一个独立同分布的样本为,其似然函数为:。已经得到了这个数据,是在发生的条件下
的取值。最大似然估计应在一切
中选取使随机样本()落在点()附件概率最大的
作为的估计值,即满足:
就是已经知道一个样本,假设总体X可以产生很多样本,不同的参数值会有不同的样本,在这个情况下,由于已经有一个样本发生了就会要求的取值使得产生()样本概率最大,这时的就是所需要的估计值。
再来看一元线性回归方程,假设(均值为0,方差为,),则有, (对线性回归方程中的y值来讲也是满足正态分布,均值是,方差为。想一下在线性回归方差理论模型中,前半部分本身的数学期望就是。但是一元线性回归方程中所有的方差都来自于随机误差,所以满足这样的正态分布) 的分布密度为:,这个式子一定要记住,是正态分布的密度表达式。这一部分在计算时与之前的离差平方和看上去十分一致。已经知道分布密度求其似然函数为:,这有三个未知数,连乘形式乘起来,它的指数形式也没有变化。
求平均对数似然为:,
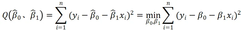
红色框中的数字看上去很熟悉,是最小二乘法中求的最小值就是后面的式子,就是对于一元线性回归方程来说,使用MLE和LSE进行参数估计是等价的。但对于其他的运算方法不一定等价。
MLE还可以得到方差的估计值,因为刚刚说过用最大似然估计的一元线性回归方程有三个变量,其中的是可以估计的,与最小二乘法的估计结果是一样的:
上述对方差的估计是有偏估计,实际上常用无偏估计量:



































