开发者学堂课程【机器学习算法 :单层感知器-2】学习笔记,与课程紧密联系,让用户快速学习知识。
课程地址:https://developer.aliyun.com/learning/course/535/detail/7235
单层感知器-2
单层感知器的例子
输入样本:,,,
期望输出:,训练单节点的感知器。
网络拓扑结构如图:
步骤:
1.初始化权重向量和学习效率:
2.对样本 计算每个节点的输出:
3.计算本次处理实际输出与期望输出的差:
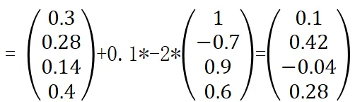
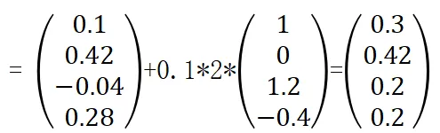
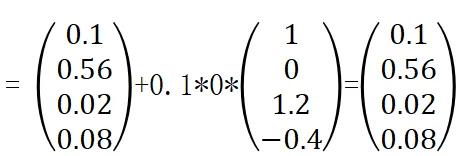
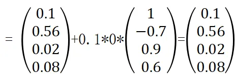
4.权重更新:
5.当前权重向量和学习速率:
6.对样本计算每个节点的输出:
7.计算本次处理实际输出与期望输出的差:
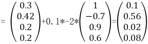
8.权重更新:
注意:如果实际输出和期望输出一致,无需更改权重。
9.当前权重向量和学习速率:
10.对样本计算每个节点的输出:
11. 计算本次处理实际输出与期望输出的差:
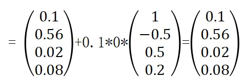
12. 权重更新:
13.当前权重向量和学习速率:
14.对样本计算每个节点的输出:
15. 计算本次处理实际输出与期望输出的差
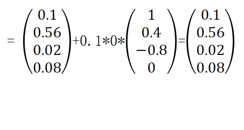
16. 权重更新:
17.当前权重向量和学习速率:
18.对样本计算每个节点的输出:
19. 计算本次处理实际输出与期望输出的差:
20. 权重更新:
21.当前权重向量和学习速率:
22.对样本计算每个节点的输出:
23. 计算本次处理实际输出与期望输出的差:
24. 权重更新:
25.当前权重向量和学习速率:
26.对样本计算每个节点的输出:
27. 计算本次处理实际输出与期望输出的差:
28. 权重更新:
29.当前权重向量和学习速率:
30.对样本计算每个节点的输出:
31. 计算本次处理实际输出与期望输出的差:
32. 权重更新:
33.当前权重向量和学习速率:
34.对样本计算每个节点的输出:
35. 计算本次处理实际输出与期望输出的差:
36. 权重更新:
37.当前权重向量和学习速率
38.对样本计算每个节点的输出:
39. 计算本次处理实际输出与期望输出的差:
40. 权重更新:
41.当前权重向量和学习速率
42.对样本计算每个节点的输出:
43. 计算本次处理实际输出与期望输出的差:
44. 权重更新:
四个样本都是实现期望输出和实际输出一致的要求
45.分隔超平面:,如图:
(红颜色的点为输出等于1.蓝色的点为输出等于-1。)










































































